exponenta event banner

getSensitivity

Функция чувствительности из обобщенной модели системы управления

Синтаксис

S = getSensitivity(T,location)
S = getSensitivity(T,location,opening)

Описание

пример

S = getSensitivity(T,location) возвращает функцию чувствительности в заданном местоположении для обобщенной модели системы управления.

пример

S = getSensitivity(T,location,opening) задает дополнительные открытия цикла для вычисления функции чувствительности. Используйте открытие, например, чтобы вычислить функцию чувствительности внутреннего цикла, с открытым внешним циклом.

Если opening и location перечисляют ту же точку, программное обеспечение открывает цикл после измерения сигнала в точке.

Примеры

свернуть все

Вычислите чувствительность во входе объекта, отмеченный анализом указывают X.

Создайте модель системы путем определения и соединения числовой модели объекта управления LTI G, настраиваемый контроллер C и блок AnalysisPoint X. Используйте блок AnalysisPoint, чтобы отметить местоположение, где вы оцениваете чувствительность (вход объекта в этом примере).

G = tf([1],[1 5]);
C = tunablePID('C','p');
C.Kp.Value = 3;
X = AnalysisPoint('X');
T = feedback(G*X*C,1);

T является моделью genss, которая представляет ответ с обратной связью системы управления от r к y. Модель содержит блок AnalysisPoint, X, который идентифицирует аналитическую точку.

Вычислите чувствительность, S, в X.

S = getSensitivity(T,'X');
tf(S)
ans =
 
  From input "X" to output "X":
  s + 5
  -----
  s + 8
 
Continuous-time transfer function.

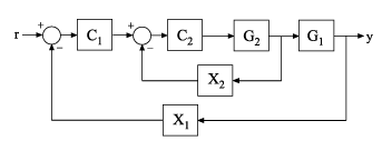
Вычислите чувствительность внутреннего цикла при выводе G2 с открытым внешним циклом.

Создайте модель системы путем определения и соединения числовых моделей объекта управления, настраиваемых контроллеров и блоков AnalysisPoint. G1 и G2 являются моделями объекта управления, C1 и C2 являются настраиваемыми контроллерами, и X1 и X2 являются блоками AnalysisPoint, которые отмечают потенциальные открывающие цикл местоположения.

G1 = tf(10,[1 10]);
G2 = tf([1 2],[1 0.2 10]);
C1 = tunablePID('C','pi');
C2 = tunableGain('G',1);
X1 = AnalysisPoint('X1');
X2 = AnalysisPoint('X2');
T = feedback(G1*feedback(G2*C2,X2)*C1,X1);

Вычислите чувствительность, S, в X2, с внешним циклом открываются в X1.

S = getSensitivity(T,'X2','X1');
tf(S)
ans =
 
  From input "X2" to output "X2":
  s^2 + 0.2 s + 10
  ----------------
  s^2 + 1.2 s + 12
 
Continuous-time transfer function.

Входные параметры

свернуть все

Модель системы управления, заданной как обобщенная модель в пространстве состояний (genss).

Местоположения, в которых можно выполнить анализ чувствительности или разомкнутые циклы, отмечены блоками AnalysisPoint в T. Используйте getPoints(T), чтобы получить список таких местоположений.

Местоположение, в котором вы вычисляете функцию чувствительности, заданную как вектор символов или массив ячеек из символьных векторов. Чтобы извлечь функцию чувствительности в нескольких местоположениях, используйте массив ячеек из символьных векторов.

Каждое заданное местоположение должно совпадать с аналитической точкой в T. Аналитические точки отмечены с помощью блоков AnalysisPoint. Чтобы получить список доступных аналитических точек в T, используйте getPoints(T).

Пример: 'u' или {'u','y'}

Дополнительное открытие цикла раньше вычисляло функцию чувствительности, заданную как вектор символов или массив ячеек из символьных векторов. Чтобы открыть цикл в нескольких местоположениях, используйте массив ячеек из символьных векторов.

Каждое заданное открытие должно совпадать с аналитической точкой в T. Аналитические точки отмечены с помощью блоков AnalysisPoint. Чтобы получить список доступных аналитических точек в T, используйте getPoints(T).

Используйте открытие, например, чтобы вычислить функцию чувствительности внутреннего цикла, с открытым внешним циклом.

Если opening и location перечисляют ту же точку, программное обеспечение открывает цикл после измерения сигнала в точке.

Пример: 'y_outer' или {'y_outer','y_outer2'}

Выходные аргументы

свернуть все

Функция чувствительности системы управления, T, измеренного в location, возвратилась как обобщенная модель в пространстве состояний (genss).

  • Если location задает одну аналитическую точку, то S является моделью SISO genss.

  • Если location является векторным сигналом или задает несколько аналитических точек, то S является моделью MIMO genss.

Больше о

свернуть все

Функция чувствительности

sensitivity function, также упомянутый просто как sensitivity, измеряется, насколько чувствительный сигнал к добавленному воздействию. Обратная связь уменьшает чувствительность в диапазоне частот, где коэффициент усиления разомкнутого контура больше, чем 1.

Рассмотрите следующую модель:

Чувствительность, Su, в u заданы как передаточная функция от du до u:

u=duKGu(I+KG)u=duu=(I+KG)1Sudu.

Здесь, I является единичной матрицей, одного размера как K G.

Чувствительность в нескольких местоположениях, например, u и y, задана как передаточная функция MIMO от воздействий до измерений чувствительности:

S=[SduuSdyuSduySdyy].

Введенный в R2014a