exponenta event banner

qqplot

График квантиля квантиля

Синтаксис

qqplot(x)
qqplot(x,pd)
qqplot(x,y)
qqplot(___,pvec)
h = qqplot(___)

Описание

пример

qqplot(x) отображает график квантиля квантиля квантилей выборочных данных x по сравнению с теоретическими значениями квантиля от нормального распределения. Если распределение x нормально, то график данных кажется линейным.

qqplot строит каждую точку данных в x с помощью знака "плюс" ('+') маркеры и проводит две ссылочных линии, которые представляют теоретическое распределение. Твердая ссылочная строка соединяет первые и третьи квартили данных, и пунктирная ссылочная строка расширяет сплошную линию к концам данных.

пример

qqplot(x,pd) отображает график квантиля квантиля квантилей выборочных данных x по сравнению с теоретическими квантилями распределения, заданного объектом pd распределения вероятностей. Если распределение x совпадает с распределением, заданным pd, то график кажется линейным.

пример

qqplot(x,y) отображает график квантиля квантиля квантилей выборочных данных x по сравнению с квантилями выборочных данных y. Если выборки прибывают из того же распределения, то график кажется линейным.

qqplot(___,pvec) отображает график квантиля квантиля с квантилями, заданными в векторном pvec, с помощью любого из предыдущих синтаксисов.

h = qqplot(___) возвращает указатели (h) в строки в графике квантиля квантиля.

Примеры

свернуть все

Используйте график квантиля квантиля определить, следуют ли цены на газ в Массачусетсе за нормальным распределением.

Загрузите выборочные данные.

load gas

Выборочные данные в price1 и price2 представляют цены на бензин на 20 различных автозаправочных станциях в Массачусетсе. Выборки были собраны в течение двух различных месяцев.

Создайте график квантиля квантиля определить, следуют ли цены на газ в price1 за нормальным распределением.

figure
qqplot(price1)

График продолжает приблизительно прямую линию, предлагая, чтобы цены на газ следовали за нормальным распределением.

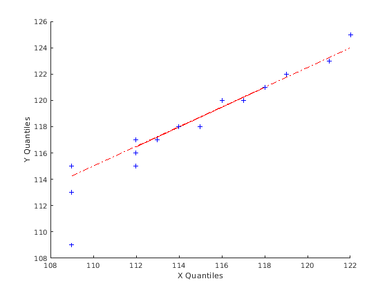
Используйте график квантиля квантиля определить, прибывают ли два набора выборочных данных из того же распределения.

Загрузите выборочные данные.

load gas

Выборочные данные в price1 и price2 представляют цены на бензин на 20 различных автозаправочных станциях в Массачусетсе. Выборки были собраны в течение двух различных месяцев.

Создайте график квантиля квантиля с помощью обоих наборов выборочных данных, чтобы оценить, имеют ли цены в разное время то же распределение.

qqplot(price1,price2);

График продолжает приблизительно прямую линию, предлагая, чтобы два набора выборочных данных имели то же распределение.

Используйте график квантиля квантиля определить, прибывают ли выборочные данные из распределения Weibull.

Загрузите выборочные данные.

load lightbulb

Первый столбец данных имеет время жизни (в часах) двух типов лампочек. Второй столбец имеет информацию о типе лампочки. 1 указывает на флуоресцентные лампы, тогда как 0 указывает на лампы накаливания. Третий столбец имеет информацию о цензурировании. 1 указывает, что подвергнутые цензуре данные, и 0 указывают точное время отказа. Это - моделируемые данные.

Удалите подвергнутые цензуре данные.

lightbulb = [lightbulb(lightbulb(:,3)==0,1),...
    lightbulb(lightbulb(:,3)==0,2)];

Создайте переменную для каждого типа лампочки. Включайте только не прошедшие цензуру данные.

fluo = [lightbulb(lightbulb(:,2)==0,1)];
insc = [lightbulb(lightbulb(:,2)==1,1)];

Создайте объект распределения вероятностей Weibull использование параметров по умолчанию A = 1 и B = 1.

pd = makedist('Weibull');

Создайте график q-q определить, имеет ли время жизни флуоресцентных ламп распределение Weibull.

figure
qqplot(fluo,pd)

График не является прямой линией, предполагая, что пожизненные данные для флуоресцентных ламп не следуют за распределением Weibull.

Входные параметры

свернуть все

Выборочные данные, заданные как числовая векторная или числовая матрица. Если x является матрицей, то qqplot отображает отдельную строку для каждого столбца.

qqplot отображает выборочные данные с помощью символа графика '+'. Строка, соединяющая первые и третьи квартили каждого распределения, накладывается на график. Строка представляет устойчивый линейный припадок статистики порядка для данных в x. Эта строка экстраполируется к минимальным и максимальным значениям в x, чтобы помочь оценить линейность данных.

Типы данных: single | double

Второй набор выборочных данных, заданных как числовая векторная или числовая матрица. x и y не должны быть той же длиной. Однако, если x и y являются матрицами, они должны содержать одинаковое число столбцов. Если x и y являются матрицами, то qqplot отображает отдельную строку для каждой пары столбцов.

qqplot выбирает квантили, чтобы построить на основе размера меньшего набора данных.

Типы данных: single | double

Предполагавшееся распределение вероятностей, заданное как объект распределения вероятностей. qqplot строит квантили входных данных x по сравнению с теоретическими квартилями распределения, заданного pd.

Создайте объект распределения вероятностей с заданными значениями параметров с помощью makedist или соответствуйте объекту распределения вероятностей к данным с помощью fitdist.

Квантили для графика, заданного как числовое значение или вектор числовых значений, в области значений [0,100].

Для одного набора выборочных данных (x) qqplot использует квантили в x. Для двух наборов выборочных данных (x и y), qqplot использует квантили в меньших из этих двух наборов данных.

Типы данных: single | double

Выходные аргументы

свернуть все

Графические указатели для объектов линии, возвращенных как вектор указателей графики Line. Графические указатели являются уникальными идентификаторами, которые можно использовать, чтобы запросить и изменить свойства определенной строки на графике. Для каждого столбца x qqplot возвращает три указателя:

  • Строка, представляющая точки данных. qqplot представляет каждую точку данных в x с помощью знака "плюс" ('+') маркеры.

  • Строка, соединяющая первые и третьи квартили каждого столбца x, представленного как сплошная линия.

  • Экстраполяция строки квартиля, расширенной к минимальным и максимальным значениям x, представленного как пунктирная линия.

Чтобы просмотреть и установить свойства объектов линии, используйте запись через точку. Для получения информации об использовании записи через точку см. Доступ к значениям свойств (MATLAB). Для получения информации о свойствах Line, которые можно установить, смотрите Line Properties.

Больше о

свернуть все

График квантиля квантиля

График quanitle-квантиля (также названный графиком q-q) визуально оценивает, прибывают ли выборочные данные из заданного распределения. Также график q-q оценивает, прибывают ли два набора выборочных данных из того же распределения.

График q-q заказывает значения выборочных данных от самого маленького до самого большого, затем строит эти значения против ожидаемого значения для заданного распределения в каждом квантиле в выборочных данных. Значения квантиля входной выборки появляются вдоль y - ось, и теоретические значения заданного распределения в тех же квантилях появляются вдоль x - ось. Если получившийся график линеен, то выборочные данные, вероятно, прибывают из заданного распределения.

График q-q выбирает квантили на основе количества значений в выборочных данных. Если выборочные данные содержат значения n, то график использует квантили n. Постройте i th упорядоченный значение (также названный i th, заказывают статистическую величину) против i0.5nквантиль th заданного распределения.

График q-q может также оценить, имеют ли два набора выборочных данных то же распределение, даже если вы не знаете базовое распределение. Значения квантиля для набора First Data появляются на x - ось и соответствующие значения квантиля для второго набора данных появляются на y - ось. С тех пор q-q графики полагаются на квантили, количество точек данных в этих двух выборках не должно быть равным. Если объемы выборки неравны, график q-q выбирает квантили на основе меньшего набора данных. Если получившийся график линеен, то два набора выборочных данных, вероятно, прибывают из того же распределения.

Смотрите также

|

Представлено до R2006a