При построении модели можно корректировать положения блоков, изменять цвета блоков, размещать имена блоков и порты на любой стороне блока, корректировать шрифты и добавлять элементы, которые помогают улучшить удобочитаемость модели. Эти изменения могут помочь организовать модель визуально и помочь другим понять модель.
В формат модели можно внести следующие типы изменений:
Улучшите компоновку модели. См. раздел Улучшение компоновки модели.
Развернуть или повернуть блоки или группы блоков. Эти корректировки помогают блокам вписываться в модель и соединяться с другими блоками. См. раздел «Развернуть или повернуть блоки».
Изменение положения или скрытие имен блоков и перемещение портов в любую сторону блока. См. раздел Управление именами блоков и портами.
Добавление цветов к блокам и к фону. См. раздел Задание цветов модели.
Настройте эстетику, изменив шрифты и углубив интенсивность теней. См. разделы Задание шрифтов в моделях и Увеличение глубины тени.
Окружение групп блоков рамкой, показывающей, что блоки связаны. См. Поля и области меток модели.
Копирование форматирования из блока, линии или области в другой элемент модели. См. раздел Копирование форматирования между элементами модели.
Документирование модели с использованием текста, изображения и математических аннотаций. См. раздел Описание моделей с использованием заметок и аннотаций.
Аннотирование блока. См. раздел Задание свойств аннотации блока.
Измените значок блока. Например, можно использовать маску для отображения графики на блоке. Маска также позволяет проектировать пользовательский интерфейс для блока. Сведения о масках см. в разделе Основы маскировки.
Чтобы улучшить компоновку и внешний вид схемы, на вкладке Формат (Format) щелкните Автоматическая упорядочивание (Auto Orrange). Этот параметр:
Выравнивание блоков модели слева направо, начиная с входных данных и заканчивая выходными данными
Изменение размеров блоков, например блока «Константа», для отображения длинных значений параметров
Стандартизация размера блока среди аналогичных блоков
Выпрямляет сигнальные линии движущимися блоками
Кроме того, можно попытаться улучшить формы отдельных сигнальных линий. Выберите сигнальную линию и на панели операций выберите «Автотрассировка линий». Линия перерисовывается, если возможна лучшая трасса между элементами модели.
Можно попытаться улучшить несколько линий с помощью функции «Автотрассировка линий». Для доступа к функции «Автотрассировка линий» на панели операций выберите блок или несколько элементов модели путем перетаскивания рамки вокруг элементов.
Чтобы переместить несколько элементов модели, сохраняя их связь друг с другом, выполните следующие действия.
Выберите элементы модели, перетащив вокруг них поле выбора.
Переместите элементы модели, перетащив кромку рамки выбора в новое положение.
Содержимое поля выбора перемещается как единица измерения. Взаимосвязь между линиями, блоками и другими элементами в поле выбора остается такой же, как и при их перемещении. Сегменты линий вне области выбора перенаправляются.
Например, предположим, что имеется следующая модель:

При перетаскивании рамки выделения, содержащей изгибы линий, при перемещении выделения включенные изгибы линий остаются прежними.

При перетаскивании рамки выделения, исключающей изгибы линий, исключенные изгибы линий могут измениться при перемещении выделенной области.

Чтобы переместить несколько линий вместе, перетащите поле выбора вокруг сегментов линий, которые требуется переместить.

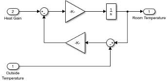
Ориентацию блока или группы блоков можно изменить путем поворота блоков с шагом 90 градусов или разворота блоков. Поворот или переворачивание блоков может помочь им лучше вписаться в модель, например, в контуры обратной связи, где блоки соединены друг с другом контуром. Также может потребоваться повернуть блок так, чтобы входные порты блока были выровнены с выходными портами или чтобы лучше использовать холст модели.
На рисунке показан блок усиления, перевернутый для упрощения схемы контура обратной связи.

Чтобы повернуть блок, выберите блок и на вкладке «Формат» нажмите «Повернуть 90 по часовой стрелке
» или «Повернуть
90 против часовой стрелки».
![]()
Блоки автоматически поворачиваются при размещении их на сигнальной линии с ориентацией, отличной от ориентации слева направо. Например, если сигнал идет снизу вверх и на него помещается блок, блок поворачивается для выравнивания с сигналом.
Чтобы развернуть блок, выберите блок и на вкладке Формат (Format) щелкните Развернуть влево-вправо (Flip left-right
) или
Развернуть вверх-вниз (Flip up-down). Блок
можно развернуть по горизонтали или вертикали в зависимости от ориентации портов блока. Например, если порты расположены по сторонам, блок поворачивается влево направо.
Чтобы повернуть или развернуть группу блоков, выберите несколько блоков перед их поворотом или разворотом. Можно развернуть группы блоков только влево или вправо.
После поворота или разворота группы блоков можно улучшить удобочитаемость модели путем редактирования сигнальных линий. Опция «Автоматическая упорядоченность» может улучшить внешний вид сигналов. (Сведения о вращении с несколькими портами см. в разделе Расположение порта после вращения или разворота.)
Например, предположим, что выбранные блоки повернуты по часовой стрелке.

После поворота блоков модель может содержать перекрывающиеся элементы.

При выбранных блоках и сигналах на вкладке Формат (Format) выберите Автокомпоновка (Auto Orrange).

При повороте порты блоков перемещаются с боковых сторон на верхнюю и нижнюю или обратную, в зависимости от расположения портов. Результирующие положения портов блока зависят от типа поворота порта блока.
Поворот может изменить положение портов на некоторых блоках для поддержания порядка нумерации портов слева направо или сверху вниз. Блок, порты которого переупорядочиваются после поворота, имеет тип поворота порта по умолчанию. Эта политика помогает поддерживать левое правое и верхнее соглашение по ориентации блок-схем, используемое в приложениях моделирования системы управления. На рисунке показано влияние поворота по часовой стрелке на блок с политикой поворота портов по умолчанию.

Маскированный блок может указывать, что порты сохраняют свой порядок после поворота (см. раздел Поворот портов). Эти блоки имеют физический тип вращения порта. Эта политика помогает при разработке блоков для использования при моделировании физических систем и других приложений, в которых диаграммы не имеют предпочтительной ориентации. На рисунке показано влияние вращения по часовой стрелке на блок с физическим типом вращения порта.

При развороте блока порты перемещаются на противоположную сторону блока, создавая зеркальное отображение независимо от типа поворота порта.
Можно управлять именами блоков, отображая или скрывая их и изменяя их расположение в блоке.
Примечание
При копировании и вставке блоков, имена которых соответствуют числовому порядку (Gain1, Gain2 и т. д.), создаются имена, соответствующие стандартным правилам порядка сортировки для символов ASCII. Этот порядок сортировки может привести к последовательности чисел в именах блоков, которые трудно понять. Если схема нумерации важна для вас, назовите блоки таким образом, чтобы при копировании и вставке создавались имена, соответствующие обычному порядку чтения. Для этого используйте начальный ноль в именах блоков, например Gain001, Gain002 и так далее.
Редактор Simulink ® называет блоки при их создании. Первым вхождением блока является имя блока библиотеки, например «Коэффициент усиления». Следующим вхождением является имя блока с добавленным номером. Каждый новый блок увеличивает число, например, Gain1, Gain2 и так далее. Эти имена называются автоматическими именами. По умолчанию редактор скрывает эти имена.
Можно выбрать скрытие или отображение имен блоков. Вы можете:
Отображение всех автоматических имен. Выберите один или несколько блоков и на вкладке «Формат» снимите флажок «Автоименование» > «Скрыть автоматические имена блоков».
Временное отображение скрытого автоматического имени блока путем выбора блока.
Присвойте блоку явное имя. Параметр «Скрыть автоматические имена» не влияет на явно именованные блоки. Чтобы назвать блок, выберите его, дважды щелкните его имя и введите новое имя.
Кроме того, можно явно скрыть или отобразить любое имя блока. Параметр «Скрытие автоматических имен блоков» не влияет на явно скрытые или отображаемые блоки. Чтобы явно скрыть или отобразить имя блока, выберите блок, затем на вкладке Формат (Format) выберите Автоименование (Auto Name), а затем выберите:
Имя включено, чтобы всегда отображать имя блока.
Имя Откл., чтобы всегда скрывать имя блока.
Автоименование для возврата в состояние по умолчанию. Если у блока есть имя по умолчанию, параметр «Скрыть автоматические имена блоков» влияет на блок.
Совет
Можно сделать паузу на блоке, чтобы отобразить имя блока независимо от настроек имени на уровне блока и модели. Имя блока можно редактировать при его отображении.
Для программного отображения и скрытия имен блоков используйте set_param с 'HideAutomaticNames' для моделей и 'HideAutomaticName' и 'ShowName' параметры блоков. Дополнительные сведения об этих параметрах см. в разделе Общие свойства блока. В таблице показано взаимодействие этих параметров.
'ShowName' (установка блока) | 'HideAutomaticName' (установка блока) | 'HideAutomaticNames' (настройка модели) | Результат |
|---|---|---|---|
'off' | Любой | Любой | Имя скрыто |
'on' | 'on' | 'on' | Имя скрыто |
'on' | 'off' | Любой | Отображается имя |
'on' | 'on' | 'off' | Отображается имя |
По умолчанию имена блоков отображаются под блоками, порты которых расположены по сторонам, и слева - под блоками, порты которых расположены сверху и снизу. Чтобы изменить расположение имени блока, можно:
Перетащите имя блока в любую сторону блока.
Выберите блок и на вкладке «Формат» нажмите «Развернуть имя».
Можно непосредственно редактировать метки портов в следующих типах блоков подсистемы:
Штатная подсистема
Подсистема с простой маской
Вариационная подсистема
Подсистема диаграмм
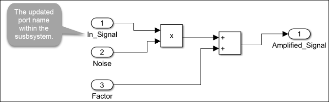
Для редактирования метки порта в блоке подсистемы в текущей модели:
Укажите метку порта. Появится интерактивная подсказка. Щелкните значок, чтобы изменить значение.
Либо выберите порт и нажмите клавишу F2.

Введите имя и нажмите Enter или Esc, или нажмите кнопку «Назад».

Совет
Чтобы выполнить последовательное редактирование метки порта в одном блоке подсистемы, выберите блок перед редактированием метки. Это позволяет выполнять дальнейшие изменения без переключения между портами.
После редактирования метки порта Simulink автоматически обновляет имя связанного порта или сигнала в подсистеме.

В этой таблице перечислены действия в зависимости от типа метки порта, определенной в блоке подсистемы.
| Тип метки порта | Действие |
|---|---|
| Ничего | Изменение не поддерживается. |
| Значок порта | Обновление имен элементов в подсистеме в зависимости от параметра Icon display порта. Например, если значение параметра Icon display порта равно |
| Имя блока порта | Обновление имени блока порта в подсистеме. |
| Название сигнала | Обновление имени сигнала, связанного с портом. |
Порты можно размещать в любом порядке на любой стороне этих блоков:
Блок подсистемы
Опорный блок подсистемы
Блок модели
Блок диаграммы (Stateflow)
Блок таблицы истинности (Stateflow)
Блок таблицы перехода состояния (State flow)
Можно переместить порты, щелкнув и перетащив порт. Для блоков подсистемы индекс порта будет автоматически перенумерован после каждого перемещения.
Можно задать цвета контура и интерьера любого блока, а также изменить цвет фона для любой системы в модели. Можно также изменить цвет текста и цвет фона для аннотаций и цвет заливки фона для областей.
Эта подсистема использует цвет для идентификации входных портов.

Чтобы изменить цвет контура блока, цвет текста в аннотации или внутренний цвет области, выберите элемент, а затем на вкладке «Формат» выберите цвет в меню «Передний план». Изменение цвета переднего плана блока также приводит к изменению цвета его выходных сигналов.
Чтобы изменить внутренний цвет блока или цвет фона в аннотации, выберите элемент, а затем на вкладке «Формат» выберите цвет в меню «Фон».
Чтобы изменить цвет фона в системе, откройте систему и на вкладке Формат (Format) выберите цвет в меню Фон (Background).
Можно выбрать цвет в меню или выбрать «Пользовательский цвет
» для
определения собственного цвета.
Можно также использовать инспектор свойств для изменения цвета области или аннотации. Сведения о программном определении цветов см. в разделе Программное определение цветов
Измените семейство шрифтов, стиль и размер для любого элемента модели, чтобы облегчить чтение модели или соответствие стандартам компании. Можно изменить шрифт для выбранных блоков, меток сигналов, областей и аннотаций. Некоторые блоки отображают текст в соответствии с настройками стиля шрифта, а некоторые блоки имеют фиксированные шрифты и стили. Чтобы увеличить размер шрифта этих блоков, увеличьте масштаб изображения.
Можно также изменить шрифт по умолчанию для модели. Шрифт по умолчанию влияет на все элементы, шрифт которых не был изменен, и на новые создаваемые элементы. Если требуется использовать один и тот же шрифт по умолчанию во всех новых моделях, измените шрифт модели по умолчанию в шаблоне по умолчанию. См. раздел Задание шаблона по умолчанию для новых моделей.
Чтобы изменить шрифт блока, метки сигнала, области или аннотации, выберите элемент, а затем укажите информацию о шрифте на вкладке «Формат» в разделе «Шрифт и абзац».
Чтобы изменить шрифты по умолчанию для модели, на вкладке Формат (Format) щелкните стрелку кнопки Свойства шрифта (Font Properties),
а затем щелкните Шрифты (Fonts) для модели (Model). Используйте диалоговое окно «Стили шрифтов» для указания информации о шрифтах.
Можно также использовать инспектор свойств для изменения шрифта области или аннотации.
На компьютерах Linux ®, настроенных на английский язык, список стилей шрифтов в диалоговом окне «Выбор шрифта» может отображаться неупорядоченно или на другом языке в некоторых шрифтах. Если символы в списке стилей шрифтов отображаются на другом языке, установите LANG переменная среды для en_US.utf-8 перед запуском MATLAB ®. Например, на терминале Linux введите:
setenv LANG en_US.utf-8 matlab
По умолчанию блоки имеют тень. Чтобы блок больше выделялся на фоне, можно увеличить глубину тени.
Выберите блоки, глубину тени которых требуется увеличить, и на вкладке «Формат» нажмите «Тень».
Совет
Чтобы удалить тень по умолчанию для всех блоков, на панели инструментов Simulink на вкладке «Моделирование» выберите «Среда» > «Настройки Simulink». На панели «Редактор» диалогового окна «Установки Simulink» выберите «Использовать классическую тему диаграммы».
Добавьте область в модель, чтобы визуально сгруппировать связанные элементы модели в рамке. Область может перемещаться вместе с блоками, которые она окружает. В область можно добавить текст для краткого описания или маркировки области.
Перетащите рамку вокруг интересующей области модели. Можно также перетащить пустую область холста, чтобы нарисовать форму области.
На панели операций выберите параметр для создания области.


Введите имя области. Имя появится в левом верхнем углу области.

Чтобы ввести имя позже, выберите область, нажмите кнопку? и начните ввод или используйте свойство «Имя» в инспекторе свойств.
При необходимости добавьте описание содержимого области с помощью инспектора свойств.
Чтобы переместить область и ее содержимое, перетащите область рядом с границей.
Совет
Чтобы переместить область без перемещения ее содержимого, удерживайте клавишу Alt (параметр на Mac) и перетащите ее.
Область подобна подсистеме тем, что она является способом группирования связанных блоков. Однако подсистема создает иерархию, заменяя несколько блоков в модели одним блоком. Сначала можно сгруппировать связанные блоки в области, а затем решить поместить эти блоки в подсистему путем преобразования области в подсистему. Полученная подсистема имеет то же имя, блоки, описание и информацию об отслеживании требований, что и область.
Чтобы преобразовать область в подсистему, щелкните ее правой кнопкой мыши и выберите «Создать подсистему из области».
Если форматирование применено к блоку, сигнальной линии или области в модели, можно скопировать форматирование и применить его к другому элементу модели. Примеры форматирования включают изменения шрифтов, выбор цвета переднего и заднего плана, а также эффекты тени.
Выберите блок, линию или область, форматирование которой требуется скопировать.
На панели действий выберите «Копировать форматирование». Курсор становится кистью.

С помощью кистей щелкните каждый элемент, в который требуется скопировать форматирование.
Чтобы отменить курсор кисти, щелкните пустое место на холсте или нажмите клавишу Esc.