exponenta event banner

irfplot

Постройте график функции импульсной характеристики (IRF) модели пространства состояний

Описание

irfplot строит графики IRF состояния и переменных измерения в модели пространства состояний. Чтобы вернуть IRF как числовые массивы, используйте irf. Другие инструменты модели пространства состояний для характеристики динамики заданной системы включают:

  • Прогнозируемое разложение отклонений ошибок (FEVD), вычисленное fevd, предоставляет информацию об относительной важности каждого нарушения порядка состояния в влиянии на отклонение ошибки прогноза всех переменных измерения в системе.

  • Подразумеваемые в модели временные корреляции, вычисленные corr для стандартной модели пространства состояний измерьте связь между настоящим и прошлым состояниями или переменными измерения, как предписано формой модели.

Полностью заданная модель пространства состояний

пример

irfplot(Mdl) строит графики IRF, или dynamic response, каждого состояния и переменной измерения полностью заданной модели пространства состояний Mdl, такой как предполагаемая модель. irfplot строит графики рисунка, содержащей IRF переменных измерения y t, и строит графики отдельного рисунка, содержащего IRF переменных состояния x t. Каждый рисунок содержит подграфик для каждой переменной и комбинации нарушения порядка состояния; подграфик (i, j) является IRF переменной j следующий из шока модуля, относился к государственному нарушению порядка <reservedrangesplaceholder3> <reservedrangesplaceholder2> <reservedrangesplaceholder1> , t. Заголовки подграфиков идентифицируют шокированную переменную и переменную IRF.

пример

irfplot(Mdl,Name,Value) использует дополнительные опции, заданные одним или несколькими аргументами пары "имя-значение". Для примера, 'PlotU',1:2,'PlotX',[] строит графики только переменных IRF измерений, полученных из-за ударов, примененных к первой и второй переменным возмущения состояний (график переменного IRF состояния подавлен).

Частично заданная модель пространства состояний и оценка доверительного интервала

пример

irfplot(___,'Params',estParams) строит графики IRF частично заданной модели пространства состояний Mdl использование любой комбинации входных аргументов в предыдущих синтаксисах. estParams задает оценки всех неизвестных параметров в модели.

пример

irfplot(___,'Params',estParams,'EstParamCov',EstParamCov) также строит точечные более низкие и верхние 95% доверительные границы Монте-Карло на каждом графике. EstParamCov задает предполагаемую ковариационную матрицу оценок параметров, возвращаемую estimate функция, и требуется для оценки доверительного интервала.

Настройка фигур

пример

irfplot(ax,___) графики на объектах осей, заданные ax вместо новых рисунков. Опция ax может предшествовать любой комбинации входных аргументов в предыдущих синтаксисах.

пример

h = irfplot(ax,___) также возвращает массив указателей на график h. Использование h для изменения свойств графиков после их создания.

Примеры

свернуть все

Явное создание модели пространства состояний

xt=0.5xt-1+0.2utyt=2xt+0.01εt.

A = 0.5;
B = 0.2;
C = 2;
D = 0.01;
Mdl = ssm(A,B,C,D)
Mdl = 
State-space model type: ssm

State vector length: 1
Observation vector length: 1
State disturbance vector length: 1
Observation innovation vector length: 1
Sample size supported by model: Unlimited

State variables: x1, x2,...
State disturbances: u1, u2,...
Observation series: y1, y2,...
Observation innovations: e1, e2,...

State equation:
x1(t) = (0.50)x1(t-1) + (0.20)u1(t)

Observation equation:
y1(t) = (2)x1(t) + (0.01)e1(t)

Initial state distribution:

Initial state means
 x1 
  0 

Initial state covariance matrix
     x1   
 x1  0.05 

State types
     x1     
 Stationary 

Mdl является ssm объект модели. Поскольку все параметры имеют известные значения, объект полностью задан.

Постройте график IRF переменных измерения и состояния.

irfplot(Mdl);

Figure contains an axes. The axes with title U1 -> Y1 contains 3 objects of type line.

Figure contains an axes. The axes with title U1 -> X1 contains 3 objects of type line.

График, озаглавленный U1 - > Y1, является IRF yt, и график, озаглавленный U1 - > X1, является IRF xt. Оба IRF показывают, что эффекты шока на систему уменьшаются примерно через 8 периодов.

Постройте график 10-периодных IRF только переменных измерения в системе.

Явное создание многомерной модели рассеянного пространства состояний

x1,t=x1,t-1+0.2u1,tx2,t=x1,t-1+0.3x2,t-1+u2,ty1,t=x1,t+ε1,ty2,t=x1,t+x2,t+ε2,t.

A = [1 0; 1 0.3];
B = [0.2 0; 0 1];
C = [1 0; 1 1];
D = eye(2);
Mdl = dssm(A,B,C,D)
Mdl = 
State-space model type: dssm

State vector length: 2
Observation vector length: 2
State disturbance vector length: 2
Observation innovation vector length: 2
Sample size supported by model: Unlimited

State variables: x1, x2,...
State disturbances: u1, u2,...
Observation series: y1, y2,...
Observation innovations: e1, e2,...

State equations:
x1(t) = x1(t-1) + (0.20)u1(t)
x2(t) = x1(t-1) + (0.30)x2(t-1) + u2(t)

Observation equations:
y1(t) = x1(t) + e1(t)
y2(t) = x1(t) + x2(t) + e2(t)

Initial state distribution:

Initial state means
 x1  x2 
  0   0 

Initial state covariance matrix
     x1   x2  
 x1  Inf  0   
 x2  0    Inf 

State types
    x1       x2   
 Diffuse  Diffuse 

Mdl является полностью заданным ssm объект модели.

Постройте график двух 10-периодических IRF y2,t, и подавить переменные IRF состояния.

irfplot(Mdl,'NumPeriods',10,'PlotY',2,'PlotX',[]);

Figure contains 2 axes. Axes 1 with title U1 -> Y2 contains 3 objects of type line. Axes 2 with title U2 -> Y2 contains 3 objects of type line.

Верхний подграфик является IRF y2,t в результате шока u1,t, который является постоянным, потому что шок фильтрует через случайное состояние ходьбы x1,t.

Нижний подграфик является IRF y2,t в результате шока u2,t, который является переходным и в конечном счете уменьшается по мере истечения времени, потому что состояние x2,t проявляет ауторегрессивное поведение.

Симулируйте данные из известной модели, подгоняйте данные к модели пространства состояний, а затем постройте совокупные IRF предполагаемой модели к заданным осям.

Предположим, что процесс генерации данных (DGP) является моделью AR (1)

xt=1+0.75xt-2+ut,

где ut - серия независимых и одинаково распределенных Гауссовых переменных со средним значением 0 и отклонением 1.

Симулируйте 500 наблюдений от модели.

rng(1); % For reproducibility
DGP = arima('Constant',1,'AR',{0 0.75},'Variance',1);
y = simulate(DGP,500);

Явным образом создайте шаблон модели пространства состояний для оценки, который представляет модель

xt=c+ϕxt-2+ηutyt=xt.

A = [0 NaN NaN; 0 1 0; 1 0 0];
B = [NaN; 0; 0];
C = [1 0 0];
D = 0;
Mdl = ssm(A,B,C,D,'StateType',[0 1 0]);

Подбор шаблона модели к данным. Задайте набор положительных, случайных стандартных Гауссовых начальных значений для трех параметров модели.

EstMdl = estimate(Mdl,y,abs(randn(3,1)));
Method: Maximum likelihood (fminunc)
Sample size: 500
Logarithmic  likelihood:     -892.214
Akaike   info criterion:      1790.43
Bayesian info criterion:      1803.07
      |     Coeff      Std Err   t Stat     Prob  
--------------------------------------------------
 c(1) | 0.41320       0.12199    3.38730  0.00071 
 c(2) | 0.67319       0.02749   24.48749   0      
 c(3) | 1.11450       0.03623   30.76557   0      
      |                                           
      |  Final State   Std Dev    t Stat    Prob  
 x(1) | 3.69929        0          Inf      0      
 x(2) |  1             0          Inf      0      
 x(3) | 1.43378        0          Inf      0      

EstMdl является полностью заданным dssm объект модели.

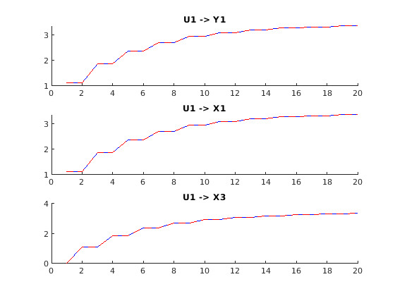
Постройте график совокупных IRF первой и третьей переменных состояния и переменной измерения в EstMdl. Верните график на том же рисунке, на трех отдельных подграфиках.

ax = gobjects(3,1);
for j = 1:numel(ax)
    ax(j) = subplot(3,1,j);
end
irfplot(ax,EstMdl,'Cumulative',true,'PlotX',[1 3]);

Figure contains 3 axes. Axes 1 with title U1 -> Y1 contains 3 objects of type line. Axes 2 with title U1 -> X1 contains 3 objects of type line. Axes 3 with title U1 -> X3 contains 3 objects of type line.

Поскольку yt=xtдва верхних IRF на рисунке эквивалентны. Поскольку x1,t-1=x3,tIRF в подграфике в нижней части рисунка смещен налево относительно двух других графиков.

Симулируйте данные из изменяющейся во времени модели пространства состояний, подбирайте модель к данным, затем стройте график изменяющегося во времени IRF предполагаемой модели.

Рассмотрите DGP, представленный этой системой

xt={0.75xt-1+ut;t<11-0.1xt-1+3ut;t11yt=1.5xt+2εt.

Функция timeVariantAR1ParamMap.m, хранится в mlr/examples/econ/main, задает структуру модели. mlr - значение matlabroot.

type timeVariantAR1ParamMap.m
% Copyright 2020 The MathWorks, Inc.

function [A,B,C,D] = timeVariantAR1ParamMap(params)
% Time-varying state-space model parameter mapping function example. This
% function maps the vector params to the state-space matrices (A, B, C, and
% D). From periods 1 through 10, the state model is an AR(1)model, and from
% periods 11 through 20, the state model is possibly a different AR(1)
% model. The measurement equation is the same throughout the time span.
    A1 = {params(1)};
    A2 = {params(2)};
    varu1 = exp(params(3));  % Positive variance constraints
    varu2 = exp(params(4));
    B1 = {sqrt(varu1)}; 
    B2 = {sqrt(varu2)};
    C = params(5);
    vare1 = exp(params(6));
    D = sqrt(vare1);
    A = [repmat(A1,10,1); repmat(A2,10,1)];
    B = [repmat(B1,10,1); repmat(B2,10,1)];
end

Неявно создайте частично заданную модель пространства состояний, представляющую DGP. В данном примере исправьте коэффициент чувствительности к измерениям C на 1.5.

C = 1.5;
fixCParamMap = @(x)timeVariantAR1ParamMap([x(1:4), C, x(5)]);
DGP = ssm(fixCParamMap);

Симулируйте 20 наблюдений от DGP. Потому что DGP частично задано, передайте истинные значения параметров в simulate при помощи 'Params' аргумент пары "имя-значение".

rng(10) % For reproducibility
A1 = 0.75;
A2 = -0.1; 
B1 = 1;
B2 = 3;
D = 2;
trueParams = [A1 A2 2*log(B1) 2*log(B2) 2*log(D)]; % Transform variances for parameter map
y = simulate(DGP,20,'Params',trueParams);

y вектор 20 на 1 моделируемых измерений yt от ДГУ.

Потому что DGP является частично заданным, неявным объектом модели, его параметры неизвестны. Поэтому он может служить шаблоном модели для оценки.

Подбор модели к моделируемым данным. Задайте случайные стандартные Гауссовы рисунки для начальных значений параметров. Верните оценки параметров.

[~,estParams] = estimate(DGP,y,randn(1,5),'Display','off')
estParams = 1×5

    0.6164   -0.1665    0.0135    1.6803   -1.5855

estParams является вектором 1 на 5 оценок параметров. Список выходных аргументов функции отображения параметров определяет порядок оценок: A{1}, A{2}, B{1}, B{2}, и D.

Постройте график IRF переменных измерения и состояния путем подачи DGP (не предполагаемая модель) и предполагаемые параметры при помощи 'Params' аргумент пары "имя-значение".

h = irfplot(DGP,'Params',estParams);
xline(h(1,1).Parent,10.5,'--')

Figure contains an axes. The axes with title U1 -> Y1 contains 4 objects of type line, constantline.

xline(h(1,2).Parent,10.5,'--')

Figure contains an axes. The axes with title U1 -> X1 contains 4 objects of type line, constantline.

Рисунки показывают изменяющиеся во времени IRF переменных измерения и состояния. Первые 10 периодов соответствуют IRF первого уравнения состояния. В течение периода 11 то, что остается от удара, переходит ко второму уравнению состояния и фильтрует через эту систему, пока она не уменьшается.

Постройте график переменного IRF измерения и 95% доверительных интервалов на истинных IRF.

Предположим, что процесс генерации данных (DGP) является моделью AR (1)

xt=1+0.75xt-2+ut,

где ut - серия независимых и одинаково распределенных Гауссовых переменных со средним значением 0 и отклонением 1.

Симулируйте 500 наблюдений от модели.

rng(1); % For reproducibility
DGP = arima('Constant',1,'AR',{0 0.75},'Variance',1);
y = simulate(DGP,500);

Явно создайте шаблон модели рассеянного пространства состояний для оценки, которая представляет модель. Подгонка модели к данным и оценка возвращаемого параметра и их соответствующая оценочная ковариационная матрица.

A = [0 NaN NaN; 0 1 0; 1 0 0];
B = [NaN; 0; 0];
C = [1 0 0];
D = 0;
Mdl = dssm(A,B,C,D,'StateType',[0 1 0]);
[~,estParams,EstParamCov] = estimate(Mdl,y,abs(randn(3,1)));
Method: Maximum likelihood (fminunc)
Effective Sample size:            500
Logarithmic  likelihood:     -892.214
Akaike   info criterion:      1790.43
Bayesian info criterion:      1803.07
      |     Coeff      Std Err   t Stat     Prob  
--------------------------------------------------
 c(1) | 0.41320       0.12199    3.38730  0.00071 
 c(2) | 0.67319       0.02749   24.48749   0      
 c(3) | 1.11450       0.03623   30.76557   0      
      |                                           
      |  Final State   Std Dev    t Stat    Prob  
 x(1) | 3.69929        0          Inf      0      
 x(2) |  1             0          Inf      0      
 x(3) | 1.43378        0          Inf      0      

Mdl является полностью заданным, предполагаемым dssm объект модели.

Постройте график IRF с его 95% доверительными интервалами переменной измерения.

irfplot(Mdl,'Params',estParams,'EstParamCov',EstParamCov,...
    'PlotX',[]);

Figure contains an axes. The axes with title U1 -> Y1 contains 3 objects of type line.

Синяя линия представляет предполагаемый IRF yt. Штриховые красные линии представляют верхние и более низкие, точечные 95% доверительные границы истинного IRF. Модель имеет только один срок задержки (задержка 2), так как шок фильтрует через систему, это влияет на первую переменную состояния только в нечетных периодах.

Входные параметры

свернуть все

Модель пространства состояний, заданная как ssm объект модели, возвращенный ssm или его estimate функции, или dssm объект модели, возвращенный dssm или его estimate функция.

Если Mdl частично задан (то есть содержит неизвестные параметры), задает оценки неизвестных параметров при помощи 'Params' аргумент имя-значение. В противном случае, irfplot выдает ошибку.

irfplot выдает ошибку при Mdl является dimension-varying model, которая является изменяющейся во времени моделью, содержащей, по меньшей мере, одну переменную, которая изменяет размерность в течение периода дискретизации (для примера, переменная состояния выпадает из модели).

Совет

Если Mdl полностью задан, вы не можете оценить доверительные границы. Для оценки доверительных границ:

  1. Создайте частично заданный шаблон модели пространства состояний для оценки Mdl.

  2. Оцените модель при помощи estimate функция и данные. Верните предполагаемые параметры estParams и оцененную ковариационную матрицу параметров EstParamCov.

  3. Передайте шаблон модели для оценки Mdl кому irfplot, и задайте оценки параметров и ковариационную матрицу при помощи 'Params' и 'EstParamCov' аргументы имя-значение.

  4. Для irfplot функция возвращает соответствующие выходные аргументы для нижних и верхних доверительных границ.

Оси, на которых можно построить графики IRF, заданные как pU*(pY + pX)-by- 1 вектор Axes объекты, где pU, pY, и pX - длины значений 'PlotU', 'PlotY', и 'PlotX' Аргументы пары "имя-значение", соответственно.

irfplot строит графики IRF к осям в ax в этом порядке.

  1. IRF всех переменных измерения PlotY(:) в результате шока первого состояния нарушения порядка PlotU(1).

  2. IRF всех переменных измерения PlotY(:) в результате шока во втором состоянии нарушения порядка PlotU(2).

  3. Продолжите процедуру аналогично, пока irfplot строит графики IRF, сопоставленный с последним нарушением порядка PlotU(end).

  4. Повторите шаги 1-3, но замените переменные измерения на переменные состояния PlotX.

По умолчанию, irfplot строит графики переменных измерений IRF к осям подграфиков на новом рисунке и строит графики переменных состояний IRF к осям подграфиков на другом новом рисунке.

Аргументы в виде пар имя-значение

Задайте необязательные разделенные разделенными запятой парами Name,Value аргументы. Name - имя аргумента и Value - соответствующее значение. Name должны находиться внутри кавычек. Можно задать несколько аргументов в виде пар имен и значений в любом порядке Name1,Value1,...,NameN,ValueN.

Пример: 'PlotU',1:2,'PlotX',[] строит графики только IRF с переменной измерения, возникающей из-за ударов, приложенных к первой и второй переменным возмущения состояния (график IRF с переменным состоянием подавлен).
Опции IRF

свернуть все

Количество периодов, для которых irfplot вычисляет IRF, заданный как положительное целое число. Периоды в IRF начинаются в момент 1 и заканчиваются в момент NumPeriods.

Пример: 'NumPeriods',10 определяет включение 10 последовательных временных точек в IRF, начиная с момента 1, в течение которого irfplot применяет шок и заканчивается в момент 10.

Типы данных: double

Оценки неизвестных параметров в частично заданной модели пространства состояний Mdl, заданный как числовой вектор.

Если Mdl частично задан (содержит неизвестные параметры, заданные NaNs), необходимо указать Params. estimate функция возвращает оценки параметров Mdl в соответствующей форме. Однако можно поставить пользовательские оценки, расположив элементы Params следующим образом:

  • Если Mdl является явно созданной моделью (Mdl.ParamMap пуст []), расположить элементы Params для соответствия попаданиям столбцового поиска NaNs в матрицах коэффициентов модели пространства состояний, начальных векторов средних значений состояний и ковариации матрице.

    • Если Mdl является инвариантным по времени, порядок A, B, C, D, Mean0, и Cov0.

    • Если Mdl изменяется ли время, порядок A{1} через A{end}, B{1} через B{end}, C{1} через C{end}, D{1} через D{end}, Mean0, и Cov0.

  • Если Mdl является неявно созданной моделью (Mdl.ParamMap является указателем на функцию), первый входной параметр функции отображения параметра в матрицу определяет порядок элементов Params.

Если Mdl полностью задан, irfplot игнорирует Params.

Пример: Рассмотрим модель пространства состояний Mdl с A = B = [NaN 0; 0 NaN] , C = [1; 1], D = 0, и начальное средство состояния 0 с ковариацией eye(2). Mdl частично задан и явно создан. Потому что параметры модели содержат в общей сложности четыре NaNs, Params должен быть вектором 4 на 1, где Params(1) - оценка A(1,1), Params(2) - оценка A(2,2), Params(3) - оценка B(1,1), и Params(4) - оценка B(2,2).

Типы данных: double

Переменные возмущения состояния, ut к шоку для графиков IRF, заданные как разделенная разделенными запятой парами, состоящая из 'PlotU' и вектор положительных целых чисел. Элементы - индексы переменных <reservedrangesplaceholder6> 1 государственного нарушения порядка, t, <reservedrangesplaceholder4> 2, t..., <reservedrangesplaceholder2> <reservedrangesplaceholder1>, t.

По умолчанию, irfplot шокирует все переменные возмущения состояния.

Пример: 'PlotU',[1 3] шоки u 1,1 и u 3,1, иirfplot строит графики получившихся IRF.

Типы данных: double

IRF с переменной измерения для построения, заданная как разделенная разделенными запятой парами, состоящая из 'PlotY' и вектор положительных целых чисел. Элементы - индексы переменных <reservedrangesplaceholder6> 1 измерения, t, <reservedrangesplaceholder4> 2, t..., <reservedrangesplaceholder2> <reservedrangesplaceholder1>, t.

Если PlotY пуст [], irfplot не строит какие-либо переменные измерения IRF.

По умолчанию, irfplot строит графики всех IRF с переменной измерения.

Пример: 'PlotY',1 строит графики IRF y 1, t.

Типы данных: double

IRF с переменным состоянием для построения графика, заданный как разделенная разделенными запятой парами, состоящая из 'PlotX' и вектор положительных целых чисел. Элементы - индексы параметров состояния <reservedrangesplaceholder6> 1, t, <reservedrangesplaceholder4> 2, t..., <reservedrangesplaceholder2> <reservedrangesplaceholder1>, t.

Если PlotX пуст [], irfplot не строит графики IRF с переменным состоянием.

По умолчанию, irfplot строит графики всех IRF с переменным состоянием.

Пример: 'PlotX',[] не строит графики IRF с переменным состоянием.

Типы данных: double

Флаг для вычисления совокупного IRF, заданный как значение в этой таблице.

ЗначениеОписание
trueirfplot вычисляет совокупный IRF всех переменных в указанной временной области значений.
falseirfplot вычисляет стандартный IRF по периодам всех переменных в указанной временной области значений.

Пример: 'Cumulative',true

Типы данных: logical

Алгоритм оценки IRF, заданный как 'repeated-multiplication' или 'eigendecomposition'.

IRF-оценка временных m содержит коэффициент Am. Эта таблица описывает поддерживаемые алгоритмы для вычисления степени матрицы.

ЗначениеОписание
'repeated-multiplication'irfplot использует рекурсивное умножение.
'eigendecomposition'irfplot пытается использовать спектральное разложение A для вычисления матричной степени. Задайте это значение только, когда вы подозреваете, что алгоритм рекурсивного умножения может испытывать числовые проблемы. Для получения дополнительной информации см. «Алгоритмы».

Типы данных: string | char

Доверительные границы оценки

свернуть все

Предполагаемая ковариационная матрица неизвестных параметров в частично заданной модели пространства состояний Mdl, заданный как положительная полуопределенная числовая матрица.

estimate возвращает оцененную ковариационную матрицу параметра Mdl в соответствующей форме. Однако можно предоставить пользовательские оценки, установив EstParamCov (i, j) к расчетной ковариации предполагаемых параметров Params (i) и Params (j), независимо от того, Mdl является инвариантным по времени или изменяющимся по времени.

Если Mdl полностью задан, irfplot игнорирует EstParamCov.

По умолчанию, irfplot не оценивает доверительные границы.

Типы данных: double

Количество путей выборки Монте-Карло (испытания) для генерации для оценки доверительных границ, заданное в виде положительного целого числа.

Пример: 'NumPaths',5000

Типы данных: double

Доверительный уровень для доверительных границ, заданный как числовой скаляр в интервале [0,1].

Для каждого периода случайным образом нарисованные доверительные интервалы покрывают истинный ответ 100*Confidence% времени.

Значение по умолчанию 0.95, что подразумевает, что доверительные границы представляют 95% доверительных интервалов.

Типы данных: double

Выходные аргументы

свернуть все

Постройте графики маркеров к IRF и доверию границам, возвращенные как 3-бай- pU*(pY + pX) матрица Line объекты, где pU, pY, и pX - длины значений 'PlotU', 'PlotY', и 'PlotX' Аргументы пары "имя-значение", соответственно.

Каждый столбец соответствует IRF комбинации нарушения порядка состояния и переменной измерения или состояния. Для конкретного столбца строка 1 содержит указатель на IRF, а строки 2 и 3 содержат указатели на нижнюю и верхнюю доверительные границы, соответственно. Информация в столбцах отображается в следующем порядке:

  1. IRF всех переменных измерения PlotY(:) в результате шока первого состояния нарушения порядка PlotU(1).

  2. IRF всех переменных измерения PlotY(:) в результате шока во втором состоянии нарушения порядка PlotU(2).

  3. Продолжает отображение аналогично до тех пор, пока irfplot достигает IRF, сопоставленного с последним нарушением порядка состояния PlotU(end).

  4. Повторите шаги 1-3, но замените переменные измерения на переменные состояния PlotX.

h содержит уникальные идентификаторы графика, которые можно использовать для запроса или изменения свойств графиков.

Подробнее о

свернуть все

Функция импульсной характеристики

impulse response function (IRF) модели пространства состояний (или dynamic response of the system) измеряет современные и будущие изменения состояния и переменных измерения, когда каждая переменная возмущения состояний шокирована модулем импульсом в периоде 1. Другими словами, IRF в момент t является производной каждого состояния и переменной измерения в момент времени, t относительно переменной возмущения состояния в момент 1 для каждого t ≥ 1.

Рассмотрим инвариантную по времени модель пространства состояний

xt=Axt1+Butyt=Cxt+Dεt,

и рассмотрим непредвиденный единичный шок в период 1, примененный к переменной возмущения состояния j uj,t.

Ответ r -step-award переменных состояния, xt к шоку,

ψxj(r)=Arbj,

где r > 0 и bj является столбцом j матрицы возмущения состояния B.

Ответ r -степ-аванс переменных измерения, yt на шок,

ψyj(r)=CArbj.

IRF зависят от временного интервала, в течение которого они вычисляются. Однако IRF инвариантной по времени модели пространства состояний time homogeneous, что означает, что IRF не зависит от времени, в которое применяется шок. Time-varying IRFs, которые являются IRF изменяющейся во времени, но инвариантной по размерности системы, имеют вид

ψxj(r)=ArA2A1b1,jψyj(r)=CrArA2A1b1,j,

где <reservedrangesplaceholder3> 1, j - столбец j <reservedrangesplaceholder0> 1, период 1 матрица государственной загрузки нарушения порядка. Изменяющиеся во времени IRF зависят от времени, в которое наносится шок.irfplot всегда применяет шок в период 1.

IRF не зависят от начального распределения состояний.

Алгоритмы

  • Если вы задаете 'eigendecomposition' для 'Method' аргумент пары "имя-значение", irfplot пытается диагонализировать матрицу переходов A с помощью спектрального разложения. irfplot прибегает к рекурсивному умножению вместо этого по меньшей мере при одном из следующих обстоятельств:

    • Собственное значение комплексно.

    • Ранг матрицы собственных векторов меньше, чем количество состояний

    • Mdl время изменяется.

  • Если вы не поставляете 'EstParamCov', доверие границы каждого периода перекрываются.

  • irfplot использует симуляцию Монте-Карло, чтобы вычислить доверительные интервалы.

    1. irfplot случайным образом рисует NumPaths изменяется от асимптотического распределения дискретизации неизвестных параметров в Mdl, который является N p (Params, EstParamCov), где p количество неизвестных параметров.

    2. Для каждого случайным образом нарисованного набора параметров j, irfplot:

      1. Создает модель пространства состояний, которая равна Mdl, но подстановки в наборе параметров j

      2. Вычисляет случайный IRF полученной модели ψ j (t), где t = 1 - NumPaths

    3. Для каждого временного t нижняя граница доверия интервала является (1 - c)/2 квантиль моделируемого IRF в период t ψ (t), где c = Confidence. Точно так же верхней границей интервала доверия в момент t является (1 - c)/2 верхний квантиль ψ (t).

Введенный в R2020b