exponenta event banner

passiveplot

Вычислите или постройте индекс пассивности как функцию частоты

Описание

пример

passiveplot(G) строит относительные индексы пассивности динамической системы G в зависимости от частоты. Когда I + G минимальная фаза, относительные индексы пассивности являются сингулярными значениями (I - G)(I + G)^-1. Самое большое сингулярное значение измеряет относительный избыточный (R < 1) или дефицит (R > 1) на каждой частоте. Смотрите getPassiveIndex для получения дополнительной информации о значении индекса пассивности.

passiveplot автоматически выбирает частотный диапазон и число точек для графика на основе динамики G.

Если G модель с комплексными коэффициентами, затем в:

  • Регистрируйте шкалу частоты, график показывает две ветви, один для положительных частот и один для отрицательных частот. Стрелки указывают на направление увеличения значений частоты для каждой ветви.

  • Линейная шкала частоты, график показывает одну ветвь с симметричным частотным диапазоном, сосредоточенным в значении частоты нуля.

пример

passiveplot(G,type) строит вход, выход или индекс пассивности ввода-вывода, в зависимости от значения typeвходной параметрвывод , или 'io', соответственно.

passiveplot(___,w) строит индекс пассивности для частот, заданных w.

  • Если w массив ячеек формы {wmin,wmax}то passiveplot строит индекс пассивности на частотах, располагающихся между wmin и wmax.

  • Если w вектор из частот, затем passiveplot строит индекс пассивности на каждой заданной частоте. Векторный w может содержать и отрицательные и положительные частоты.

Можно использовать этот синтаксис с любой из предыдущих комбинаций входных аргументов.

passiveplot(G1,G2,...,GN,___) строит индекс пассивности для нескольких динамических систем G1,G2,...,GN на том же графике. Можно также использовать этот синтаксис с type входной параметр, с w задавать частоты, чтобы построить, или оба.

пример

passiveplot(G1,LineSpec1,...,GN,LineSpecN,___) задает цвет, LineStyle и маркер для каждой системы в графике.

пример

passiveplot(___,plotoptions) строит индекс пассивности с набором опций, заданным в plotoptions. Можно использовать эти опции, чтобы настроить внешний вид графика с помощью командной строки. Настройки вы задаете в plotoptions замените настройки preference в MATLAB® сеанс, на котором вы запускаете passiveplot. Поэтому этот синтаксис полезен, когда это необходимо, чтобы записать скрипт, чтобы сгенерировать несколько графиков, которые выглядят одинаково независимо от локальных настроек.

[index,wout] = passiveplot(G) и [index,wout] = passiveplot(G,type) возвратите индекс пассивности на каждой частоте в векторном wout. Выход index матрица и значение index(:,k) дает индексы пассивности в порядке убывания на частоте w(k). Этот синтаксис не строит график.

index = passiveplot(G,w) и index = passiveplot(G,type,w) возвратите индексы пассивности на частотах, заданных w.

Примеры

свернуть все

Постройте относительный индекс пассивности в зависимости от частоты системы G=(s+2)/(s+1).

G = tf([1 2],[1 1]); 
passiveplot(G)

Figure contains an axes object. The axes object contains an object of type line. This object represents G.

График показывает, что относительный индекс пассивности меньше 1 на всех частотах. Поэтому система G пассивный элемент.

Постройте входной индекс пассивности той же системы.

passiveplot(G,'input')

Figure contains an axes object. The axes object contains an object of type line. This object represents G.

Входной индекс пассивности положителен на всех частотах. Поэтому система вводится строго пассивная.

Постройте входной индекс пассивности двух динамических систем и их серийного соединения.

G1 = tf([5 3 1],[1 2 1]);
G2 = tf([1 1 5 0.1],[1 2 3 4]);
H = G2*G1;

passiveplot(G1,'r',G2,'b--',H,'gx','input')
legend('G1','G2','G2*G1')

Figure contains an axes object. The axes object contains 3 objects of type line. These objects represent G1, G2, G2*G1.

Входной индекс пассивности взаимосвязанной системы опускается ниже 0 приблизительно 1 рад/с. Этот график показывает, что серийное соединение двух пассивных систем не обязательно пассивно. Однако пассивность сохраняется для параллели или соединений обратной связи пассивных систем.

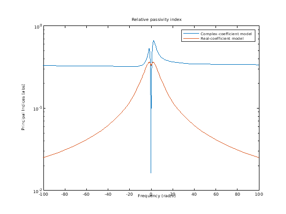
Постройте относительные индексы пассивности модели комплексного коэффициента и модели действительного коэффициента на том же графике.

A = [-3.50,-1.25-0.25i;2,0];
B = [1;0];
C = [-0.75-0.5i,0.625-0.125i];
D = 0.5;
Gc = ss(A,B,C,D);
Gr = tf([1 5 10],[1 10 5]);
passiveplot(Gc,Gr)
legend('Complex-coefficient model','Real-coefficient model','Location','southeast')

Figure contains an axes object. The axes object contains 2 objects of type line. These objects represent Complex-coefficient model, Real-coefficient model.

В логарифмической шкале частоты график показывает две ветви для моделей с комплексными коэффициентами, один для положительных частот, с указывающей вправо стрелкой, и один для отрицательных частот, указывающей налево стрелой. В обеих ветвях стрелки указывают на направление увеличивающихся частот. Графики для моделей с действительными коэффициентами всегда содержат одну ветвь без стрел.

Установите шкалу частоты графического вывода на линейный.

opt = sectorplotoptions;
opt.FreqScale = 'Linear';

Постройте индексы.

passiveplot(Gc,Gr,opt)
legend('Complex-coefficient model','Real-coefficient model')

Figure contains an axes object. The axes object contains 2 objects of type line. These objects represent Complex-coefficient model, Real-coefficient model.

В линейной шкале частоты графики показывают одну ветвь с симметричным частотным диапазоном, сосредоточенным в значении частоты нуля. График также показывает отрицательную частотную характеристику модели действительного коэффициента, когда вы строите ответ наряду с моделью комплексного коэффициента.

Входные параметры

свернуть все

Модель, чтобы анализировать для пассивности в виде модели динамической системы, такой как a tf, ss, или genss модель. G может быть MIMO, если количество входных параметров равняется количеству выходных параметров. G может быть непрерывным или дискретным. Если G обобщенная модель с настраиваемыми или неопределенными блоками, passiveplot оценивает пассивность текущей, номинальной стоимости G.

Если G массив моделей, затем passiveplot строит индекс пассивности всех моделей в массиве на том же графике. Когда вы используете выходные аргументы, чтобы получить данные о пассивности, G должна быть одна модель.

Тип пассивности индексирует в виде одного из следующего:

  • 'input' — Введите индекс пассивности (введите пассивность прямого распространения). Это значение является самым маленьким собственным значением (G(s)+G(s)H)/2, для s = в непрерывное время и s = ejω в дискретное время.

  • 'output' — Выведите индекс пассивности (выходная пассивность обратной связи). Когда G минимальная фаза, это значение является самым маленьким собственным значением (G(s)1+G(s)H)/2, для s = в непрерывное время и s = ejω в дискретное время.

  • 'io' — Объединенный индекс пассивности ввода-вывода. Когда I + G минимальная фаза, это значение является самым большим τ (ω), таким образом что:

    G(s)+G(s)H>2τ(ω)(I+G(s)HG(s)),

    для s = в непрерывное время и s = ejω в дискретное время.

Займитесь индексами Пассивности и Пассивности для получения дополнительной информации об этих индексах.

Частоты, на которых можно вычислить и построить индексы в виде массива ячеек {wmin,wmax} или как вектор из значений частоты.

  • Если w массив ячеек формы {wmin,wmax}, затем функция вычисляет индекс на частотах, располагающихся между wmin и wmax.

  • Если w вектор из частот, затем функция вычисляет индекс на каждой заданной частоте. Например, использовать logspace сгенерировать вектор-строку с логарифмически распределенными значениями частоты.

Для моделей с комплексными коэффициентами, если вы задаете частотный диапазон [min w, w макс.] для вашего графика, затем в:

  • Регистрируйте шкалу частоты, пределы частоты графика устанавливаются к [min w, w макс.] и график показывает две ветви, один для положительных частот [min w, w макс.] и один для отрицательных частот [–wmax, –wmin].

  • Линейная шкала частоты, пределы частоты графика устанавливаются к [–wmax, w макс.] и график показывает одну ветвь с симметричным частотным диапазоном, сосредоточенным в значении частоты нуля.

Задайте частоты в модулях rad/TimeUnit, где TimeUnit TimeUnit свойство модели.

Стиль линии, маркер и цвет в виде строки или вектора из один, два, или три символа. Символы могут появиться в любом порядке. Вы не должны задавать все три характеристики (стиль линии, маркер и цвет). Например, если вы не используете стиль линии и задаете маркер, затем график показывает только маркер и никакую линию. Для получения дополнительной информации о конфигурировании этого аргумента, смотрите LineSpec входной параметр plot функция.

Пример: 'r--' задает красную пунктирную линию

Пример: '*b' задает синие маркеры звездочки

Пример: 'y' задает желтую линию

Индекс пассивности строит опции, установленные в виде SectorPlotOptions объект. Можно использовать этот набор опции, чтобы настроить внешний вид графика. Используйте sectorplotoptions создать набор опции. Настройки вы задаете в plotoptions заменяет настройки preference в сеансе работы с MATLAB, в котором вы запускаете passiveplot. Поэтому plotoptions полезно, когда это необходимо, чтобы записать скрипт, чтобы сгенерировать несколько графиков, которые выглядят одинаково независимо от локальных настроек.

Для списка доступных параметров смотрите sectorplotoptions.

Выходные аргументы

свернуть все

Индексы пассивности в зависимости от частоты, возвращенной как матрица. index содержит, какой бы ни тип индекса пассивности вы задаете, вычисленный на частотах w если вы предоставили их или wout если вы не сделали. index имеет столько же столбцов, сколько существуют значения в w или wout, и

  • Одна строка, для входа, выхода или объединенных i/o индексов пассивности.

  • Столько же строк сколько G имеет вводы или выводы, для относительного индекса пассивности.

Например, предположите тот G система с 3 выходами, с 3 входами и w 1 30 вектор из частот. Затем следующий синтаксис возвращает 3 30 матричный index.

index = passiveplot(G,w);

Запись index(:,k) содержит относительные индексы пассивности G, в порядке убывания, на частоте w(k).

Частоты, на которых вычисляются индексы, возвратились как вектор. Функция автоматически выбирает частотный диапазон и число точек на основе динамики модели.

wout также содержит отрицательные значения частоты для моделей с комплексными коэффициентами.

Введенный в R2016a