Объект задачи SimBiology для оценки параметра
Создайте fitproblem возразите, чтобы оценить параметры модели с помощью нелинейной регрессии или нелинейного моделирования смешанных эффектов.
Создайте объектное использование fitproblem.
Data — Данные, чтобы соответствовать- 0
groupedData массив (значение по умолчанию) | groupedData объектДанные, чтобы соответствовать в виде groupedData объект.
Имя переменной времени должно быть задано в IndependentVariableName свойство Data. Например, если именем переменной времени является 'TIME', затем задайте его можно следующим образом.
prob = fitproblem;
prob.Data = groupedData;
prob.Data.TIME = [1:1:10];
prob.Data.Properties.IndependentVariableName = 'TIME'; Если данные содержат больше чем одну группу измерений, имя сгруппированной переменной должно быть задано в GroupVariableName свойство Data. Например, если именем сгруппированной переменной является 'GROUP', затем задайте его можно следующим образом.
prob.Data.Properties.GroupVariableName = 'GROUP';Estimated — Предполагаемые параметры- 0
estimatedInfo массив (значение по умолчанию) | estimatedInfo возразите | вектор из estimatedInfo объекты | CovariateModel объектПредполагаемые параметры в виде estimatedInfo объект, вектор из estimatedInfo объекты или скалярный CovariateModel объект.
Это свойство задает предполагаемые параметры в модели, и другая дополнительная информация, такие как их первоначальные оценки, преобразования, связала ограничения и категории. Поддерживаемыми преобразованиями является log, logit, и probit. Для получения дополнительной информации смотрите Преобразования Параметра.
Когда вы выполняете нелинейную регрессию установкой object.FitFunction = "sbiofit"то:
Используя scattersearch когда оптимизационная функция требует, чтобы вы задали конечные преобразованные границы для каждого предполагаемого параметра.
Если вы не задаете свойство Pooled, программное обеспечение использует CategoryVariableName свойство estimatedInfo объект решить, должны ли параметры быть оценены для каждого индивидуума, группы, категории или всех индивидуумов в целом. Установите Pooled свойство заменить любой CategoryVariableName значения. Для получения дополнительной информации о CategoryVariableName свойство, смотрите EstimatedInfo object.
Программное обеспечение использует categorical функция, чтобы идентифицировать группы. Если какие-либо значения группы преобразованы в то же значение categorical, затем те наблюдения обработаны как принадлежащий той же группе. Например, если некоторые наблюдения не имеют никакой информации о группе (то есть, пустой символьный вектор ''то categorical преобразует пустые символьные вектора в <undefined>, и эти наблюдения обработаны как одна группа.
Для нелинейного моделирования смешанных эффектов с object.FitFunction="sbiofitmixed", CategoryVariablename свойство estimatedInfo объект проигнорирован.
FitFunction — Имя функции оценки SimBiology"sbiofit" (значение по умолчанию) | "sbiofitmixed"Имя оценки SimBiology функционирует, чтобы использовать в виде "sbiofit" или "sbiofitmixed"Использование sbiofit для нелинейных проблем регрессии и sbiofitmixed для нелинейных проблем смешанных эффектов.
Model — Модель SimBiology- 0
Model массив (значение по умолчанию) | Model объектМодель SimBiology раньше соответствовала данным в виде Model объект.
ResponseMap — Отображение между компонентами модели и переменными данных- 0 массив пустой строки (значение по умолчанию) | вектор символов | представляет в виде строки | вектор строки | массив ячеек из символьных векторовОтображение между компонентами модели и переменными данных в виде вектора символов, строки, представляет в виде строки вектор или массив ячеек из символьных векторов.
Каждый вектор символов или строка являются подобным уравнению выражением, похожим на правила присвоения. Это содержит имя (или полностью определенное имя) количества (разновидности, отсек или параметр) или observable объект в модели, сопровождаемой символьным '=' и имя переменной в Data. Для ясности пробелы позволены между именами и '='.
Например, если у вас есть данные о концентрации 'CONC' в Data для разновидности 'Drug_Central', можно задать его можно следующим образом.
ResponseMap = 'Drug_Central = CONC';Чтобы назвать разновидность однозначно, используйте полностью определенное имя, которое включает имя отсека. Чтобы назвать ограниченный по объему реакцией параметр, используйте имя реакции, чтобы квалифицировать параметр.
Если имя компонента модели или grpData имя переменной не является допустимым именем переменной MATLAB, окружите его квадратными скобками, такими как:
ResponseMap = '[Central 1].Drug = [Central 1 Conc]';Если само имя переменной содержит квадратные скобки, вы не можете использовать его в выражении, чтобы задать информацию об отображении.
Если какое-либо (квалифицированное) имя совпадает с двумя компонентами того же типа, ошибка выпущена, когда вы запускаетесь fit функция объекта. Чтобы разрешить ошибку, можно использовать (квалифицированное) имя, которое совпадает с двумя компонентами различных типов, и функция сначала находит разновидности с именем, сопровождаемым отсеками и затем параметрами.
Типы данных: char | string | cell
Doses — Дозы применяются во время подбора кривой- 0
Dose массив (значение по умолчанию) | RepeatDose | ScheduleDose возразите | объект | 2D матрица объектов дозы | вектор ячейки из объектов дозыДозы, примененные во время подбора кривой в виде пустого массива или 2D матрицы объектов дозы (ScheduleDose объект или RepeatDose объект. По умолчанию программное обеспечение не применяет доз, даже если модель имеет активные дозы.
Для матрицы объектов дозы это должно иметь одну строку или одну строку на группу во входных данных. Если это имеет одну строку, те же дозы применяются ко всем группам в процессе моделирования. Если это имеет несколько строк, каждая строка применяется к отдельной группе в том же порядке, как группы появляются во входных данных. Несколько столбцов позволены так, чтобы можно было применить несколько объектов дозы к каждой группе.
Для вектора ячейки из доз это должно иметь один элемент или один элемент на группу во входных данных. Каждым элементом должен быть [] или вектор из доз. Каждый элемент ячейки применяется к отдельной группе в том же порядке, как группы появляются во входных данных.
В дополнение к ручному построению использования объектов дозы sbiodose, если вход groupedData объект имеет информацию о дозах, можно использовать createDoses метод, чтобы создать дозы.
FunctionName — Имя оптимизационной функции"auto" (значение по умолчанию) | вектор символов | строкаИмя оптимизационной функции, которая вызвана FitFunction (sbiofit или sbiofitmixed) в виде вектора символов или строки.
Если FitFunction="sbiofit", допустимый выбор следующие.
"auto"
"fminsearch"
"nlinfit" (Statistics and Machine Learning Toolbox™ требуется.)
"fminunc" (Optimization Toolbox™ требуется.)
"fmincon" (Optimization Toolbox требуется.)
"lsqcurvefit" (Optimization Toolbox требуется.)
"lsqnonlin" (Optimization Toolbox требуется.)
"patternsearch" (Global Optimization Toolbox требуется.)
"ga" (Global Optimization Toolbox требуется.)
"particleswarm" (Global Optimization Toolbox требуется.)
По умолчанию (то есть, FunctionName="auto" и FitFunction="sbiofit"), fitproblem возразите использует первую доступную функцию оценки среди следующего: lsqnonlin (Optimization Toolbox), nlinfit (Statistics and Machine Learning Toolbox), или fminsearch. Тот же приоритет применяется к локальному выбору решателя по умолчанию за scattersearch.
Если FitFunction="sbiofitmixed", допустимый выбор:
"auto"
"nlmefit"
"nlmefitsa"
Когда FunctionName="auto" и FitFunction="sbiofitmixed", объект использует "nlmefit" как оптимизационная функция.
Типы данных: char | string
Options — Опции для оптимизационной функции[] (значение по умолчанию) | struct | optimoptions объектОпции для оптимизационной функции в виде скалярного struct, optimoptions объектный или пустой массив [].
Когда FitFunction="sbiofit", можно использовать следующие опции:
statset struct для nlinfit
optimset struct для fminsearch
optimoptions объект для lsqcurvefit, lsqnonlin, fmincon, fminunc, particleswarm, ga, и patternsearch
struct для scattersearch
Смотрите Опции по умолчанию для Оптимизационных функций, Вызванных sbiofit для получения дополнительной информации и опций по умолчанию, сопоставленных с каждой функцией оценки.
Когда FitFunction="sbiofitmixed", задайте структуру можно следующим образом:
Структура может содержать поля и значения по умолчанию, которые являются аргументами name-value, принятыми nlmefit (Statistics and Machine Learning Toolbox) и nlmefitsa (Statistics and Machine Learning Toolbox), кроме следующих, которые не поддерживаются.
'FEConstDesign'
'FEGroupDesign’
'FEObsDesign'
'FEParamsSelect'
'ParamTransform'
'REConstDesign'
'REGroupDesign'
'REObsDesign'
'Vectorization'
'REParamsSelect' только поддерживается, когда вы обеспечиваете вектор из estimatedInfo объекты при определении предполагаемых параметров.
Используйте statset (Statistics and Machine Learning Toolbox) функция только, чтобы установить 'Options' поле структуры (opt), можно следующим образом.
opt.Options = statset('Display','iter','TolX',1e-3,'TolFun',1e-3);
Для других поддерживаемых аргументов name-value (см. nlmefit (Statistics and Machine Learning Toolbox) и nlmefitsa (Statistics and Machine Learning Toolbox)), устанавливает их можно следующим образом.
opt.ErrorModel = 'proportional'; opt.ApproximationType = 'LME';
ProgressPlot — Отметьте, чтобы показать прогресс оценки параметраfalse или 0 (значение по умолчанию) | true или 1Отметьте, чтобы показать прогресс оценки параметра в виде числового или логического 1 TRUE) или 0 ложь). Если флагом является true, новая фигура открывается содержащий графики во время подбора кривой.
Когда FitFunction="sbiofit":
Графики показывают логарифмическую правдоподобность, критерии завершения и оцененные параметры для каждой итерации. Эта опция не поддерживается для nlinfit.
Если вы используете функции Optimization Toolbox (fminunc, fmincon, lsqcurvefit, lsqnonlin), рисунок также показывает Оптимальность Первого порядка (Optimization Toolbox) график.
Для необъединенной подгонки каждая линия на графиках представляет индивидуума. Для объединенной подгонки одна строка представляет всех индивидуумов. Линия становится увядшей, когда подгонка завершена. Графики также отслеживают прогресс, когда вы запускаетесь sbiofit (и для объединенных и для необъединенных подгонок) в параллельных использующих удаленных кластерах. Для получения дополнительной информации см. График Прогресса.
Когда FitFunction="sbiofitmixed", графики показывают значения фиксированных параметров эффектов (theta), оценки параметров отклонения, то есть, диагональных элементов ковариационной матрицы случайных эффектов (Ψ), и логарифмическая правдоподобность. Для получения дополнительной информации см. График Прогресса.
Типы данных: double | logical
UseParallel — Отметьте, чтобы включить распараллеливаниеfalse или 0 (значение по умолчанию) | true или 1Отметьте, чтобы включить распараллеливание в виде числового или логического 1 TRUE) или 0 ложь). Если флагом является true и Parallel Computing Toolbox™ доступен, программное обеспечение включает распараллеливание путем выполнения следующего:
Создайте SimFunction объекты с UseParallel=true.
Передайте флаг UseParallel=true к оптимизационной функции, такой как lsqnonlin. Обратите внимание на то, что некоторые оптимизационные функции не поддерживают распараллеливание. Смотрите страницу с описанием соответствующей оптимизационной функции, чтобы узнать о поддержке распараллеливания.
Когда FitFunction="sbiofit", и вы выполняете необъединенную подгонку (Pooled=false) для нескольких групп каждая подгонка запущена параллельно. Для объединенной подгонки (Pooled=true), распараллеливание происходит на уровне решателя. Другими словами, расчеты решателя, такие как оценки целевой функции, запущены параллельно.
Типы данных: double | logical
Variants — Варианты применяются во время подбора кривой- 0
Variant массив (значение по умолчанию) | 2D матрица вариантов | вектор ячейки из вариантовВарианты, примененные во время подбора кривой в виде пустого массива [] или 2D матрица или вектор ячейки из различных объектов. По умолчанию программное обеспечение не применяет вариантов, даже если модель имеет активные варианты.
Для матрицы различных объектов количество строк должно быть один или должно совпадать с количеством групп во входных данных. i th строка различных объектов применяется к симуляции i th группа. Варианты применяются в порядке от первого столбца до последнего. Если эта матрица имеет только одну строку вариантов, они применяются ко всем симуляциям.
Для вектора ячейки из различных объектов количество ячеек должно быть один или должно совпадать с количеством групп во входных данных. Каждым элементом должен быть [] или вектор из вариантов. Если этот вектор ячейки имеет отдельную ячейку, содержащую вектор из вариантов, они применяются ко всем симуляциям. Если вектор ячейки имеет несколько ячеек, варианты в i th ячейка применяются к симуляции i th группа.
В дополнение к ручному построению различных объектов с помощью sbiovariant, если вход groupedData объект имеет различную информацию, можно использовать createVariants создать варианты.
FitFunction="sbiofit" толькоErrorModel — Модель Error"constant" (значение по умолчанию) | вектор символов | представляет в виде строки | вектор строки | массив ячеек вектора символов | категориальный вектор | таблицаОшибочные модели, используемые для оценки в виде вектора символов, строки, представляют в виде строки вектор, массив ячеек из символьных векторов, категориальный вектор или таблицу.
Если это - таблица, это должно содержать одну переменную, которая является вектор-столбцом ошибочных имен модели. Имена могут быть массивом ячеек из символьных векторов, вектором строки или вектором из категориальных переменных. Если таблица имеет больше чем одну строку, то RowNames свойство должно совпадать с именами переменной отклика, заданными в правой стороне ResponseMap. Если таблица не использует RowNames свойство, n th ошибка сопоставлен с n th ответ.
Если вы задаете только одну ошибочную модель, то sbiofit оценки один набор параметров ошибок для всех ответов.
Если вы задаете несколько ошибочных моделей с помощью категориального вектора, вектора строки, или массив ячеек из символьных векторов, длина векторного массива или массива ячеек должна совпадать с количеством ответов в ResponseMap.
Можно задать несколько ошибочных моделей, только если вы используете эти методы: lsqnonlin, lsqcurvefit, fmincon, fminuncfminsearch, patternsearch, ga, и particleswarm.
Четыре встроенных ошибочных модели доступны. Каждая модель задает ошибку стандартный средний нуль и переменная (Gaussian) модульного отклонения e, результаты симуляции f и один или два параметра a и b.
"constant":
"proportional":
"combined":
"exponential":
Примечание
Если вы задаете ошибочную модель, вы не можете задать веса за исключением постоянной ошибочной модели.
Если вы используете пропорциональную или объединенную ошибочную модель во время подбора кривой данных, стараетесь не задавать точки данных время от времени, где решение (результат симуляции) является нулем, или устойчивое состояние является нулем. В противном случае можно столкнуться с проблемами деления на нуль. Рекомендуется, чтобы вы удалили те точки данных из набора данных. Для получения дополнительной информации на функциях оценки параметра ошибок, смотрите Оценку Наибольшего правдоподобия.
Типы данных: double | char | string | table | cell
Pooled — Подходящий флаг опции"auto" (значение по умолчанию) | true или 1 | false или 0Подходящий флаг опции, чтобы соответствовать каждому индивидууму или объединить все отдельные данные в виде числового или логического 1 TRUE) или 0 ложь), или "auto".
Если Pooled установлен в "auto", программное обеспечение выводит значение из Estimated свойство можно следующим образом.
Если Estimated estimatedInfo объект с его CategoryVariableName набор свойств к значению по умолчанию <GroupVariableName>, затем Pooled свойство установлено в false. В противном случае свойство установлено в true.
Когда свойством является false, fit функция объекта оценивает каждую группу или индивидуума, отдельно использующего группу - или отдельно-специфичные параметры, и возвращенный результат подгонки является вектором из объектов результатов одним результатом для каждой группы.
Когда свойством является true, fit функция выполняет подхождение всем индивидуумам или группам, одновременно использующим те же оценки параметра, и возвращенным результатом является скалярный объект результатов.
Примечание
Используйте эту опцию, чтобы заменить CategoryVariableName значение estimatedInfo объект.
Типы данных: char | string | double | logical
SensitivityAnalysis — Отметьте, чтобы использовать чувствительность параметра, чтобы определить градиенты целевой функции"auto" (значение по умолчанию) | true или 1 | false или 0Отметьте, чтобы использовать чувствительность параметра, чтобы определить градиенты целевой функции в виде числового или логического 1 TRUE) или 0 ложь), или "auto".
Поведение по умолчанию ("auto") следующие.
Свойством является true для fmincon, fminunc, lsqnonlin, lsqcurvefit, и scattersearch методы.
В противном случае свойством является false.
Если это - true, программное обеспечение всегда использует sundials решатель, независимо от того, что вы выбрали как SolverType свойство в Configset объект.
Программное обеспечение использует метод приближения комплексного шага, чтобы вычислить чувствительность параметра. Такая расчетная чувствительность может использоваться, чтобы определить градиенты целевой функции во время оценки параметра, чтобы улучшить подбор кривой. Поведение по умолчанию sbiofit должен использовать такую чувствительность, чтобы определить градиенты каждый раз, когда алгоритм основан на градиенте и если модель SimBiology поддерживает анализ чувствительности. Для получения дополнительной информации о требованиях модели и анализе чувствительности, смотрите Анализ чувствительности в SimBiology.
Типы данных: double | logical | char | string
Weights — Веса используются во время подбора кривой[] (значение по умолчанию) | матрица | указатель на функциюВеса используются для подбора кривой в виде пустого массива [], матрица действительных положительных весов, где количество столбцов соответствует количеству ответов или указателю на функцию, который принимает вектор из предсказанных значений отклика и возвращает вектор из действительных положительных весов.
Если вы задаете ошибочную модель, вы не можете использовать веса за исключением постоянной ошибочной модели. Если ни один ErrorModel или Weights задан, по умолчанию, программное обеспечение использует постоянную ошибочную модель с равными весами.
Типы данных: double | function_handle
fit | Выполните оценку параметра с помощью объекта задачи SimBiology |
resetoptions | Сбросьте дополнительные проблемные свойства подгонки SimBiology |
В этом примере показано, как оценить параметры PK модели SimBiology с помощью подхода, основанного на проблеме.
Загрузите синтетический набор данных. Это содержит данные о концентрации плазмы препарата, измеренные и в центральных и в периферийных отсеках.
load('data10_32R.mat')Преобразуйте набор данных в groupedData объект.
gData = groupedData(data); gData.Properties.VariableUnits = ["","hour","milligram/liter","milligram/liter"];
Отобразите данные.
sbiotrellis(gData,"ID","Time",["CentralConc","PeripheralConc"],... Marker="+",LineStyle="none");

Пользуйтесь встроенной библиотекой PK, чтобы создать модель 2D отсека с дозированием вливания и устранением первого порядка. Используйте объект configset включить модульное преобразование.
pkmd = PKModelDesign; pkc1 = addCompartment(pkmd,"Central"); pkc1.DosingType = "Infusion"; pkc1.EliminationType = "linear-clearance"; pkc1.HasResponseVariable = true; pkc2 = addCompartment(pkmd,"Peripheral"); model2cpt = construct(pkmd); configset = getconfigset(model2cpt); configset.CompileOptions.UnitConversion = true;
Примите, что каждый индивидуум получает капельное внутривенное введение во время = 0 с общим объемом вливания 100 мг на уровне 50 мг/час. Для получения дополнительной информации при подготовке различных стратегий дозирования, смотрите Дозы в Моделях SimBiology.
dose = sbiodose("dose","TargetName","Drug_Central"); dose.StartTime = 0; dose.Amount = 100; dose.Rate = 50; dose.AmountUnits = "milligram"; dose.TimeUnits = "hour"; dose.RateUnits = "milligram/hour";
Создайте объект задачи.
problem = fitproblem
problem =
fitproblem with properties:
Required:
Data: [0x0 groupedData]
Estimated: [1x0 estimatedInfo]
FitFunction: "sbiofit"
Model: [0x0 SimBiology.Model]
ResponseMap: [1x0 string]
Optional:
Doses: [0x0 SimBiology.Dose]
FunctionName: "auto"
Options: []
ProgressPlot: 0
UseParallel: 0
Variants: [0x0 SimBiology.Variant]
sbiofit options:
ErrorModel: "constant"
Pooled: "auto"
SensitivityAnalysis: "auto"
Weights: []
Задайте необходимые свойства объекта.
problem.Data = gData; problem.Estimated = estimatedInfo(["log(Central)","log(Peripheral)","Q12","Cl_Central"],InitialValue=[1 1 1 1]); problem.Model = model2cpt; problem.ResponseMap = ["Drug_Central = CentralConc","Drug_Peripheral = PeripheralConc"];
Задайте дозу, которая будет применена во время подбора кривой.
problem.Doses = dose;
Покажите прогресс оценки.
problem.ProgressPlot = true;
Подбирайте модель ко всем данным, объединенным вместе: то есть, оцените один набор параметров для всех индивидуумов путем установки Pooled свойство к true.
problem.Pooled = true;
Выполните оценку с помощью fit функция объекта.
pooledFit = fit(problem);

Отобразите предполагаемые значения параметров.
pooledFit.ParameterEstimates
ans=4×3 table
Name Estimate StandardError
______________ ________ _____________
{'Central' } 1.6627 0.16569
{'Peripheral'} 2.6864 1.0644
{'Q12' } 0.44945 0.19943
{'Cl_Central'} 0.78497 0.095621
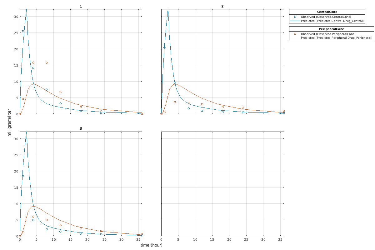
Постройте подходящие результаты.
plot(pooledFit);

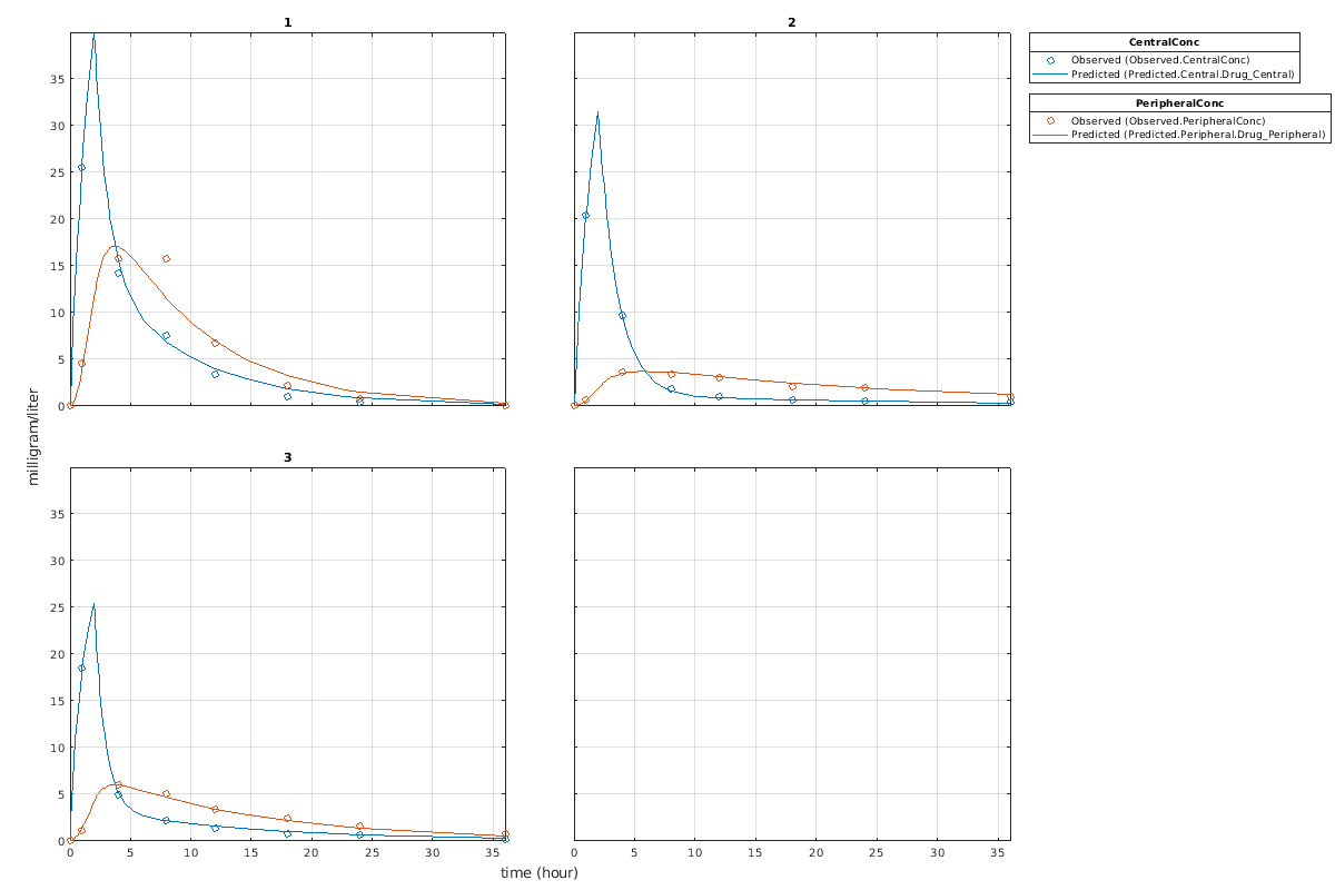
Оцените один набор параметров для каждого индивидуума и смотрите, улучшаются ли оценки параметра.
problem.Pooled = false; unpooledFit = fit(problem);

Отобразите предполагаемые значения параметров.
unpooledFit.ParameterEstimates
ans=4×3 table
Name Estimate StandardError
______________ ________ _____________
{'Central' } 1.422 0.12334
{'Peripheral'} 1.5619 0.36355
{'Q12' } 0.47163 0.15196
{'Cl_Central'} 0.5291 0.036978
ans=4×3 table
Name Estimate StandardError
______________ ________ _____________
{'Central' } 1.8322 0.019672
{'Peripheral'} 5.3364 0.65327
{'Q12' } 0.2764 0.030799
{'Cl_Central'} 0.86035 0.026257
ans=4×3 table
Name Estimate StandardError
______________ ________ _____________
{'Central' } 1.6657 0.038529
{'Peripheral'} 5.5632 0.37063
{'Q12' } 0.78361 0.058657
{'Cl_Central'} 1.0233 0.027311
plot(unpooledFit);

Сгенерируйте график остаточных значений в зависимости от времени, чтобы сравнить объединенные и необъединенные результаты подгонки. Фигура указывает, что необъединенные подходящие остаточные значения меньше, чем те из объединенной подгонки, как ожидалось. В дополнение к сравнению остаточных значений другие строгие критерии могут использоваться, чтобы сравнить подходящие результаты.
t = [gData.Time;gData.Time]; res_pooled = vertcat(pooledFit.R); res_pooled = res_pooled(:); res_unpooled = vertcat(unpooledFit.R); res_unpooled = res_unpooled(:); figure; plot(t,res_pooled,"o",MarkerFaceColor="w",markerEdgeColor="b") hold on plot(t,res_unpooled,"o",MarkerFaceColor="b",markerEdgeColor="b") refl = refline(0,0); % A reference line representing a zero residual title("Residuals versus Time"); xlabel("Time"); ylabel("Residuals"); legend(["Pooled","Unpooled"]);

Как проиллюстрировано, необъединенная подгонка составляет изменения из-за определенных предметов в исследовании, и, в этом случае, модель соответствует лучше к данным. Однако объединенная подгонка возвращает параметры всего населения. Как альтернатива, если вы хотите оценить параметры всего населения при рассмотрении отдельных изменений, можно выполнить нелинейные смешанные эффекты (NLME) оценка установкой problem.FitFunction к sbiofitmixed.
problem.FitFunction = "sbiofitmixed";NLMEResults = fit(problem);

Отобразите предполагаемые значения параметров.
NLMEResults.IndividualParameterEstimates
ans=12×3 table
Group Name Estimate
_____ ______________ ________
1 {'Central' } 1.4623
1 {'Peripheral'} 1.5306
1 {'Q12' } 0.4587
1 {'Cl_Central'} 0.53208
2 {'Central' } 1.783
2 {'Peripheral'} 6.6623
2 {'Q12' } 0.3589
2 {'Cl_Central'} 0.8039
3 {'Central' } 1.7135
3 {'Peripheral'} 4.2844
3 {'Q12' } 0.54895
3 {'Cl_Central'} 1.0708
Постройте подходящие результаты.
plot(NLMEResults);

Постройте взвешенные остаточные значения условного выражения (CWRES), и индивидуум взвесил остаточные значения (IWRES) ожидаемых значений модели.
plotResiduals(NLMEResults,'predictions')
Следующая таблица обобщает опции по умолчанию для различных функций оценки.
| Функция | Опции по умолчанию | ||||||
|---|---|---|---|---|---|---|---|
nlinfit (Statistics and Machine Learning Toolbox) |
| ||||||
fmincon (Optimization Toolbox) |
| ||||||
fminunc (Optimization Toolbox) |
| ||||||
fminsearch |
| ||||||
lsqcurvefit (Optimization Toolbox), lsqnonlin (Optimization Toolbox) | Требует Optimization Toolbox.
| ||||||
patternsearch (Global Optimization Toolbox) | Требует Global Optimization Toolbox.
| ||||||
ga (Global Optimization Toolbox) | Требует Global Optimization Toolbox.
| ||||||
particleswarm (Global Optimization Toolbox) | Требует Global Optimization Toolbox.
| ||||||
scattersearch | Смотрите поля точек алгоритм поиска. |
sbiofit | sbiofitmixed | EstimatedInfo object | groupedData object | LeastSquaresResults object | NLINResults object | OptimResults object | sbiofitmixed | nlinfit (Statistics and Machine Learning Toolbox) | fmincon (Optimization Toolbox) | fminunc (Optimization Toolbox) | fminsearch | lsqcurvefit (Optimization Toolbox) | lsqnonlin (Optimization Toolbox) | patternsearch (Global Optimization Toolbox) | ga (Global Optimization Toolbox) | particleswarm (Global Optimization Toolbox)
У вас есть модифицированная версия этого примера. Вы хотите открыть этот пример со своими редактированиями?
1. Если смысл перевода понятен, то лучше оставьте как есть и не придирайтесь к словам, синонимам и тому подобному. О вкусах не спорим.
2. Не дополняйте перевод комментариями “от себя”. В исправлении не должно появляться дополнительных смыслов и комментариев, отсутствующих в оригинале. Такие правки не получится интегрировать в алгоритме автоматического перевода.
3. Сохраняйте структуру оригинального текста - например, не разбивайте одно предложение на два.
4. Не имеет смысла однотипное исправление перевода какого-то термина во всех предложениях. Исправляйте только в одном месте. Когда Вашу правку одобрят, это исправление будет алгоритмически распространено и на другие части документации.
5. По иным вопросам, например если надо исправить заблокированное для перевода слово, обратитесь к редакторам через форму технической поддержки.