Выполните глобальный анализ чувствительности (GSA) путем вычисления элементарных эффектов
выполняет глобальный анализ чувствительности модели SimBiology elementaryEffectsResults = sbioelementaryeffects(modelObj,params,observables)modelObj путем вычисления элементарных эффектов observables относительно отдельных количеств модели или параметров, заданных в params.
дополнительные опции использования заданы одними или несколькими аргументами name-value.elementaryEffectsResults = sbioelementaryeffects(modelObj,params,observables,Name=Value)
Загрузите модель роста опухоли.
sbioloadproject tumor_growth_vpop_sa.sbprojЗаставьте вариант предполагаемыми параметрами и дозой применяться к модели.
v = getvariant(m1);
d = getdose(m1,'interval_dose');Получите активный configset и установите вес опухоли как ответ.
cs = getconfigset(m1);
cs.RuntimeOptions.StatesToLog = 'tumor_weight';Симулируйте модель и постройте профиль роста опухоли.
sbioplot(sbiosimulate(m1,cs,v,d));

Выполните глобальный анализ чувствительности (GSA) на модели, чтобы найти параметры модели, к которым рост опухоли чувствителен.
Во-первых, задайте параметры модели интереса, которые вовлечены в фармакодинамику роста опухоли. Задайте ответ модели как вес опухоли.
modelParamNames = {'L0','L1','w0','k1'};
outputName = 'tumor_weight';Затем выполните GSA путем вычисления элементарных эффектов с помощью sbioelementaryeffects. Используйте 100 как количество отсчетов и набор ShowWaitBar к true показать прогресс симуляции.
rng('default');
eeResults = sbioelementaryeffects(m1,modelParamNames,outputName,Variants=v,Doses=d,NumberSamples=100,ShowWaitbar=true);Покажите средний ответ модели, результаты симуляции и теневую область, покрывающую 90% результатов симуляции.
plotData(eeResults,ShowMedian=true,ShowMean=false);

Можно настроить область квантиля к различному проценту путем определения Alphas для более низких и верхних квантилей всех ответов модели. Например, alpha значение 0,1 графиков теневая область между 100*alpha и 100*(1-alpha) квантили всех симулированных ответов модели.
plotData(eeResults,Alphas=0.1,ShowMedian=true,ShowMean=false);

Постройте курс времени средних значений и стандартные отклонения элементарных эффектов.
h = plot(eeResults);
% Resize the figure.
h.Position(:) = [100 100 1280 800];![Figure contains 8 axes objects. Axes object 1 with title sensitivity output [Tumor Growth Model].tumor_weight contains an object of type line. Axes object 2 with title sensitivity output [Tumor Growth Model].tumor_weight contains an object of type line. Axes object 3 contains an object of type line. Axes object 4 contains an object of type line. Axes object 5 contains an object of type line. Axes object 6 contains an object of type line. Axes object 7 contains an object of type line. Axes object 8 contains an object of type line.](../../examples/simbio/win64/PerformGSAByComputingElementaryEffectsExample_04.png)
Среднее значение эффектов объясняет, оказывают ли изменения входных значений параметров какое-либо влияние на ответ веса опухоли. Стандартное отклонение эффектов объясняет, зависит ли изменение чувствительности от местоположения в области параметра.
От среднего значения графиков эффектов, параметры L1 и w0 кажется, самые чувствительные параметры к весу опухоли, прежде чем доза будет применена в t = 7. Но, после того, как доза применяется, k1 и L0 станьте более чувствительными параметрами и способствуйте больше всего дозируемому после того, как этапу веса опухоли. Графики стандартного отклонения эффектов показывают больше отклонений для больших значений параметров на более позднем этапе (t> 35), чем для этапа прежде-чем-дозы роста опухоли.
Можно также отобразить величины чувствительности в столбиковой диаграмме. Каждая цветная штриховка представляет гистограмму, представляющую значения в разное время. Более темные цвета означают, что те значения происходят чаще по курсу всего времени.
bar(eeResults);
![Figure contains an axes object. The axes object with title sensitivity output [Tumor Growth Model].tumor_weight contains 18 objects of type patch, line. These objects represent mean, standard deviation.](../../examples/simbio/win64/PerformGSAByComputingElementaryEffectsExample_05.png)
Можно также построить сетки параметра, и выборки использовались для расчета элементарных эффектов.
plotGrid(eeResults)

Можно задать больше выборок, чтобы увеличить точность элементарных эффектов, но симуляция может занять больше времени, чтобы закончиться. Используйте addsamples добавить больше выборок.
eeResults2 = addsamples(eeResults,200);
SimulationInfo свойство объекта результата содержит различную информацию для вычисления элементарных эффектов. Например, данные о симуляции модели (SimData) для каждой симуляции с помощью набора выборок параметра хранятся в SimData поле свойства. Это поле является массивом SimData объекты.
eeResults2.SimulationInfo.SimData
SimBiology SimData Array : 1500-by-1 Index: Name: ModelName: DataCount: 1 - Tumor Growth Model 1 2 - Tumor Growth Model 1 3 - Tumor Growth Model 1 ... 1500 - Tumor Growth Model 1
Можно узнать, перестала ли какая-либо симуляция модели работать во время расчета путем проверки ValidSample поле SimulationInfo. В этом примере поле не показывает не пройдено запусков симуляции.
all(eeResults2.SimulationInfo.ValidSample)
ans = logical
1
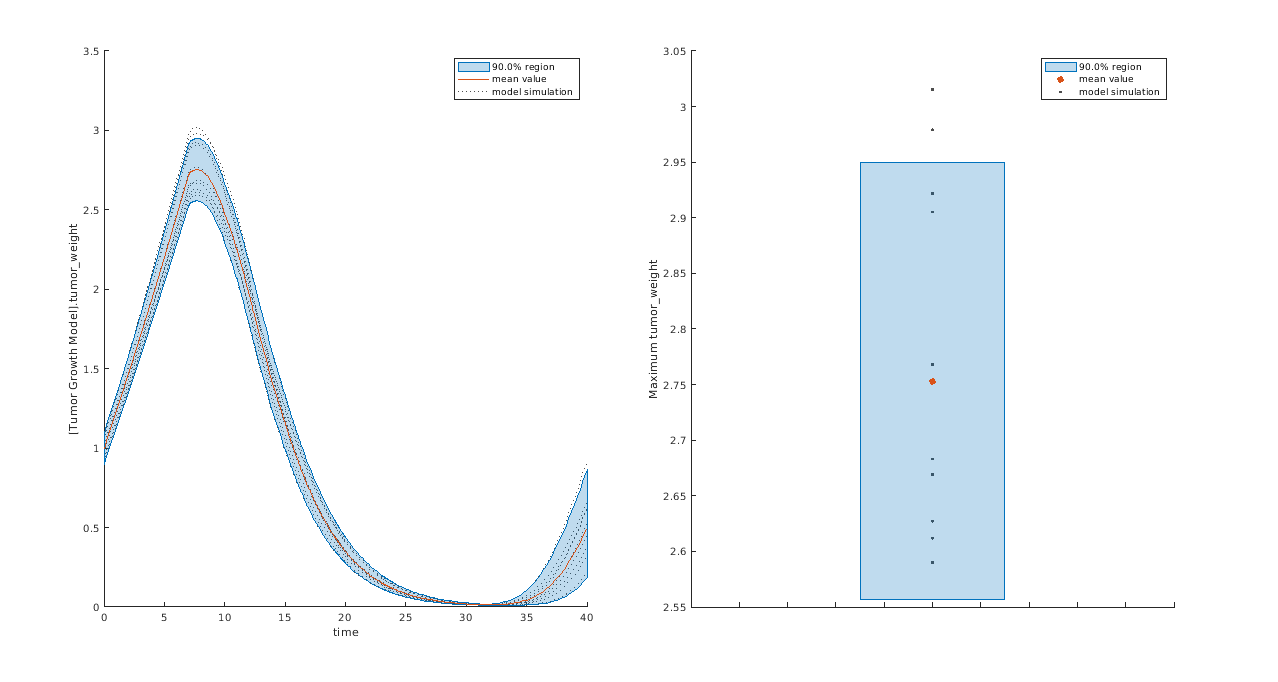
Можно добавить пользовательские выражения как observables и вычислить элементарные эффекты добавленного observables. Например, можно вычислить эффекты для максимального веса опухоли путем определения пользовательского выражения можно следующим образом.
% Suppress an information warning that is issued. warnSettings = warning('off', 'SimBiology:sbservices:SB_DIMANALYSISNOTDONE_MATLABFCN_UCON'); % Add the observable expression. eeObs = addobservable(eeResults2,'Maximum tumor_weight','max(tumor_weight)','Units','gram');
Постройте вычисленные результаты симуляции, показывающие 90%-ю область квантиля.
h2 = plotData(eeObs); h2.Position(:) = [100 100 1500 800];

Можно также удалить заметное путем определения его имени.
eeNoObs = removeobservable(eeObs,'Maximum tumor_weight');Восстановите настройки предупреждения.
warning(warnSettings);
modelObj — Модель SimBiologyМодель SimBiology в виде SimBiology model object.
params — Имена параметров модели, разновидностей или отсековИмена параметров модели, разновидностей или отсеков в виде вектора символов, строки, представляют в виде строки вектор или массив ячеек из символьных векторов.
Пример: ["k1","k2"]
Типы данных: char | string | cell
observables — Ответы моделиОтветы модели в виде вектора символов, строки, представляют в виде строки вектор или массив ячеек из символьных векторов. Задайте имена разновидностей, параметров, отсеков или observables.
Пример: "tumor_growth"
Типы данных: char | string | cell
Задайте дополнительные пары аргументов как Name1=Value1,...,NameN=ValueN, где Name имя аргумента и Value соответствующее значение. Аргументы name-value должны появиться после других аргументов, но порядок пар не имеет значения.
eeResults = sbioelementaryeffects(modelObj,params,observables,StopTime=10) задает, чтобы использовать время остановки 10.Bounds — Границы параметраПараметр ограничивает в виде числовой матрицы с двумя столбцами. Первый столбец содержит нижние границы, и второй столбец содержит верхние границы. Количество строк должно быть равно количеству параметров в params.
Если параметр имеет ненулевое значение, границы по умолчанию составляют ±10% значения. Если значение параметров является нулем, границами по умолчанию является [0 1].
Пример: [0.5 5]
Типы данных: double
Doses — Дозы, чтобы использовать во время симуляцийScheduleDose возразите | RepeatDose возразите | вектор из объектов дозыДозы, чтобы использовать во время симуляций модели в виде ScheduleDose или RepeatDose возразите или вектор из объектов дозы.
Variants — Варианты, чтобы применяться перед симуляциямиВарианты, чтобы применяться перед симуляциями модели в виде различного объекта или вектора из различных объектов.
Когда вы задаете несколько вариантов с дублирующимися техническими требованиями для значения свойства, последнее вхождение для значения свойства в массиве вариантов используется в процессе моделирования.
NumberSamples — Количество отсчетов, чтобы вычислить элементарные эффекты (значение по умолчанию) | положительное целое числоКоличество отсчетов, чтобы вычислить элементарные эффекты в виде положительного целого числа. Функция требует (количество входа симуляции модели, чтобы вычислить элементарные эффекты.params + 1) * NumberSamples
Типы данных: double
PointSelection — Метод, чтобы выбрать точки выборки, чтобы вычислить элементарные эффекты"chain" (значение по умолчанию) | "radial"Метод, чтобы выбрать точки выборки, чтобы вычислить элементарные эффекты в виде "chain" или "radial". "chain" укажите, что выбор использует метод Морриса [1]. "radial" укажите, что выбор использует метод Sohier [2]. Для получения дополнительной информации смотрите Элементарные Эффекты для Глобального Анализа чувствительности.
Типы данных: char | string
GridLevel — Уровень дискретизации области параметра (значение по умолчанию) | положительный даже целое числоУровень дискретизации области параметра в виде положительного даже целое число. Этот параметр задает сетку равноотстоящих точек в области параметра, где каждая размерность дискретизируется с помощью 'points'. Следующий рисунок показывает пример сетки для параметров p1 и p2 в данных границах параметра.Gridlevel+1

Для получения дополнительной информации смотрите Элементарные Эффекты для Глобального Анализа чувствительности.
Типы данных: double
GridDelta — Размер шага, чтобы вычислить элементарные эффектыGridLevel/2 (значение по умолчанию) | положительное целое числоРазмер шага для вычисления элементарных эффектов в виде положительного целого числа между 1 и GridLevel. Размер шага измеряется в терминах узлов решетки между соседними точками. Следующий рисунок показывает примеры различных значений дельты сетки.

Для получения дополнительной информации смотрите Элементарные Эффекты для Глобального Анализа чувствительности.
Типы данных: double
AbsoluteEffects — Отметьте, чтобы использовать абсолютные значения элементарных эффектовtrue (значение по умолчанию) | falseОтметьте, чтобы использовать абсолютные значения элементарных эффектов в виде true или false. По умолчанию функция использует абсолютные значения элементарных эффектов. Используя неабсолютные значения может составить в среднем при вычислении среднего значения. Для получения дополнительной информации смотрите Элементарные Эффекты для Глобального Анализа чувствительности.
Типы данных: логический
SamplingMethod — Метод, чтобы сгенерировать выборки параметра"lhs" (значение по умолчанию) | "random"Метод, чтобы сгенерировать выборки параметра в виде одного из следующего:
"lhs" — Используйте латинские выборки гиперкуба низкого несоответствия.
"random" — Используйте равномерно распределенные случайные выборки.
Функция выбирает сгенерированные выборки параметра путем выборки узлов решетки.
StopTime — Время остановки симуляцииВремя остановки симуляции в виде неотрицательного скаляра. Если вы не задаете никакой StopTime ни OutputTimes, функция использует время остановки от активной конфигурации модели модели. Вы не можете задать оба StopTime и OutputTimes.
Типы данных: double
OutputTimes — Simulation времена выходаSimulation времена выхода в виде числового вектора. Функция вычисляет элементарные эффекты в этих выходных моментах времени. Вы не можете задать оба StopTime и OutputTimes. По умолчанию функция использует моменты времени, о которых сообщают, первой симуляции модели.
Пример: [0 1 2 3.5 4 5 5.5]
Типы данных: double
UseParallel — Отметьте, чтобы запустить симуляции модели параллельноfalse (значение по умолчанию) | trueОтметьте, чтобы запустить симуляции модели параллельно в виде true или false. Когда значением является true и Parallel Computing Toolbox™ доступен, функциональные параллельные симуляции запусков.
Типы данных: логический
Accelerate — Отметьте, чтобы включить ускорение моделиtrue (значение по умолчанию) | falseОтметьте, чтобы включить ускорение модели в виде true или false.
Типы данных: логический
InterpolationMethod — Метод для интерполяции симуляций модели"interp1q" (значение по умолчанию) | вектор символов | строкаМетод для интерполяции ответов модели на единый набор выходных времен в виде вектора символов или строки. Допустимые опции следуют.
Типы данных: char | string
ShowWaitbar — Отметьте, чтобы показать прогресс симуляций моделиfalse (значение по умолчанию) | trueОтметьте, чтобы показать прогресс симуляций модели путем отображения панели ожидания в виде true или false. По умолчанию никакие не ожидают, панель отображена.
Типы данных: логический
elementaryEffectsResults — Результаты, содержащие средние значения и стандартные отклонения элементарных эффектовSimBiology.gsa.ElementaryEffects объектРезультаты, содержащие средние значения и стандартные отклонения элементарных эффектов, возвращенных как SimBiology.gsa.ElementaryEffects объект. Объект включает информацию, такую как среднее и стандартное отклонение элементарных эффектов, а также выборок параметра, и симуляции модели использовались для расчета элементарных эффектов.
sbioelementaryeffects позволяет вам оценить глобальную чувствительность ответа модели относительно изменений параметров модели.
Считайте простой случай одним входным параметром чувствительности P. Элементарный EE эффекта P относительно ответа модели R определяется следующим образом.
Здесь, EEP(x) является элементарным эффектом P. R(x) и R(x+delta) являются ответами модели в определенное время или значения observables, оцененного для значений параметров x и x+delta.
В общем случае входных параметров чувствительности k x является вектором из различных значений параметров, x = [v1,v2,v3,…,vk]. Элементарный эффект i th параметр вычисляется можно следующим образом.
Здесь, ei является i th канонический единичный вектор. Таким образом, вычисляя элементарные эффекты всех параметров P1,P2,P3,…,Pk требует k+1 симуляции модели.
Функция предоставляет два метода ('PointSelection') выбрать набор k+1 точки, требуемые вычислить эти элементарные эффекты.
Чтобы получить среднее и стандартное отклонение элементарных эффектов, функция вычисляет N ('NumberSamples') элементарные эффекты на параметр, который требует N*(k+1) симуляции. По умолчанию функция сообщает о среднем и стандартном отклонении абсолютных элементарных эффектов каждого параметра P1,P2,P3,…,Pk.
Среднее значение элементарных эффектов объясняет, оказывают ли изменения параметра P какое-либо влияние на ответ R в среднем.
Стандартное отклонение объясняет, зависит ли изменение чувствительности от местоположения в области параметра.
Функция использует абсолютные элементарные эффекты по умолчанию, потому что элементарные эффекты могут составить в среднем при вычислении среднего значения в противном случае. Опционально, можно установить 'AbsoluteEffects' аргумент значения имени к false получить средние значения и стандартные отклонения неабсолютных элементарных эффектов.
Функция сообщает, что точки использовались для расчета элементарных эффектов в ParameterSamples свойство возвращенного объекта результатов. Каждый блок k+1 строки в таблице ParameterSamples соответствует k+1 радиальным или цепочечным точкам, использовался для расчета элементарных эффектов. SimulationInfo.SimData свойство объекта результатов содержит соответствующие симуляции модели. Функциональные выборки точки от сетки параметра заданы 'GridLevel' и 'GridDelta'. Следующая фигура иллюстрирует простой случай с двумя входными параметрами чувствительности (y1 и y2) с 'NumberSamples' = 2 использования chain
'PointSelection' метод.

[1] Моррис, Макс Д. “Планы Выборки факториала относительно Предварительных Вычислительных Экспериментов”. Технометрики 33, № 2 (май 1991): 161–74.
[2] Sohier, Анри, Жан-Лу Фарг и Хелене Пит-Ланир. “Улучшение Представительности Метода Морриса для Воздушного Запуска, чтобы вращаться вокруг Разделения”. Объемы Продолжений IFAC 47, № 3 (2014): 7954–59.
SimBiology.gsa.ElementaryEffects | sbiosobol | sbiompgsa | Observable
У вас есть модифицированная версия этого примера. Вы хотите открыть этот пример со своими редактированиями?
1. Если смысл перевода понятен, то лучше оставьте как есть и не придирайтесь к словам, синонимам и тому подобному. О вкусах не спорим.
2. Не дополняйте перевод комментариями “от себя”. В исправлении не должно появляться дополнительных смыслов и комментариев, отсутствующих в оригинале. Такие правки не получится интегрировать в алгоритме автоматического перевода.
3. Сохраняйте структуру оригинального текста - например, не разбивайте одно предложение на два.
4. Не имеет смысла однотипное исправление перевода какого-то термина во всех предложениях. Исправляйте только в одном месте. Когда Вашу правку одобрят, это исправление будет алгоритмически распространено и на другие части документации.
5. По иным вопросам, например если надо исправить заблокированное для перевода слово, обратитесь к редакторам через форму технической поддержки.