Когда параметр r является целым числом, отрицательный биномиальный PDF
где q = 1 – p. Когда r не является целым числом, биномиальный коэффициент в определении PDF заменяется эквивалентным выражением
В его самой простой форме (когда r является целым числом), отрицательное биномиальное распределение моделирует количество отказов x, прежде чем конкретное количество успехов будет достигнуто в ряду независимых, идентичных испытаний. Его параметры являются вероятностью успеха в одном испытании, p, и количеством успехов, r. Особый случай отрицательного биномиального распределения, когда r = 1, является геометрическим распределением, которое моделирует количество отказов перед первым успехом.
В более общем плане r может взять значения нецелого числа. Эта форма отрицательного биномиального распределения не имеет никакой интерпретации с точки зрения повторных испытаний, но, как распределение Пуассона, это полезно в моделировании данных о количестве. Отрицательное биномиальное распределение является более общим, чем распределение Пуассона, потому что это имеет отклонение, которое больше, чем его среднее значение, делая его подходящим для данных о количестве, которые не соответствуют предположениям о распределении Пуассона. В пределе, когда r увеличивается до бесконечности, отрицательное биномиальное распределение приближается к распределению Пуассона.
Предположим, что вы собираете данные по количеству автомобильных аварий на оживленной магистрали и хотели бы смочь смоделировать количество несчастных случаев в день. Поскольку это данные о количестве, и потому что существует очень большое количество автомобилей и маленькая вероятность несчастного случая для любого определенного автомобиля, вы можете думать, чтобы использовать распределение Пуассона. Однако вероятность того, чтобы попадать в аварию, вероятно, будет отличаться со дня на день как погода и количество изменения трафика, и таким образом, предположениям, необходимым для распределения Пуассона, не будут соответствовать. В частности, отклонение этого типа данных о количестве иногда превышает среднее значение большой суммой. Данные ниже показывают этот эффект: большинство дней имеет немногих или никакие несчастные случаи, и несколько дней имеют большое количество.
accident = [2 3 4 2 3 1 12 8 14 31 23 1 10 7 0]; m = mean(accident)
m = 8.0667
v = var(accident)
v = 79.3524
Отрицательное биномиальное распределение является более общим, чем Пуассон и часто подходит для данных о количестве, когда Пуассон не. Функциональный nbinfit возвращает оценки наибольшего правдоподобия (MLEs) и доверительные интервалы для параметров отрицательного биномиального распределения. Вот результаты подбора кривой данным accident:
[phat,pci] = nbinfit(accident)
phat = 1×2
1.0060 0.1109
pci = 2×2
0.2152 0.0171
1.7968 0.2046
Трудно дать физическую интерпретацию в этом случае отдельным параметрам. Однако предполагаемые параметры могут использоваться в модели для количества ежедневных несчастных случаев. Например, график предполагаемой функции интегральной вероятности показывает, что, в то время как существует приблизительно 10%-й шанс никаких несчастных случаев в данный день, существует также приблизительно 10%-й шанс, что будет 20 или больше несчастных случаев.
plot(0:50,nbincdf(0:50,phat(1),phat(2)),'.-'); xlabel('Accidents per Day') ylabel('Cumulative Probability')

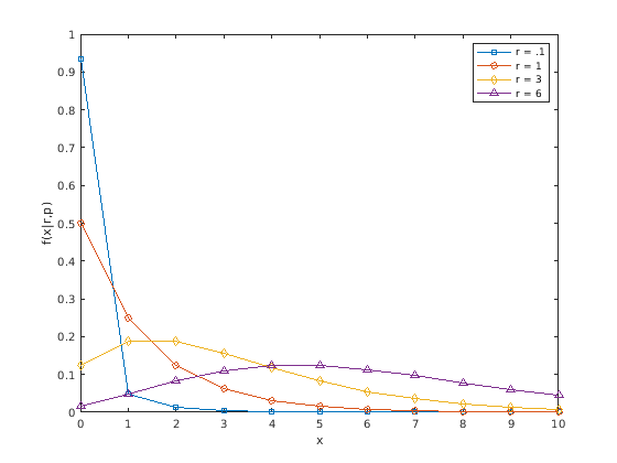
Вычислите и постройте PDF с помощью четырех различных значений для параметра r, желаемое количество успехов: .1, 1, 3 и 6. В каждом случае вероятности успеха p является .5.
x = 0:10; plot(x,nbinpdf(x,.1,.5),'s-', ... x,nbinpdf(x,1,.5),'o-', ... x,nbinpdf(x,3,.5),'d-', ... x,nbinpdf(x,6,.5),'^-'); legend({'r = .1' 'r = 1' 'r = 3' 'r = 6'}) xlabel('x') ylabel('f(x|r,p)')

График показывает, что отрицательное биномиальное распределение может взять множество форм, в пределах от очень скошенного к почти симметричному, в зависимости от значения r.