В этом примере показано, как изолировать неисправность вала от смоделированных данных измерений для машин с различными скоростями вращения и разработать функции, которые помогут обнаружить неисправность.
В примере предполагается, что вы уже знакомы с основными операциями приложения. Для получения учебного пособия по использованию приложения см. раздел Определение индикаторов условий для разработки алгоритма предиктивного обслуживания.
На следующем рисунке показана трансмиссия с шестью зубчатыми колесами. Двигатель привода снабжен датчиком вибрации и тахометром. В этом приводе:
Шестерня 1 на валу двигателя входит в зацепление с шестерней 2 с передаточным отношением 17:1.
Конечное передаточное число, или отношение между шестернями 1 и 2 и шестернями 3 и 4, составляет 51:1.
Шестерня 5, также на валу двигателя, входит в зацепление с шестерней 6 с передаточным отношением 10:1.

Двадцать моделируемых машин используют этот привод. Каждая машина работает с номинальной скоростью вращения в пределах 1 процента от расчетной скорости вращения 1800 об/мин. Поэтому номинальная скорость вращения для каждой машины находится в диапазоне от 1782 об/мин до 1818 об/мин.
Десять машин включают в себя разлом, развивающийся на валу шестерни 6.
Для запуска загрузите данные в рабочую область MATLAB ® и откройте Diagnostic Feature Designer.
load(fullfile(matlabroot, 'toolbox', 'predmaint', 'predmaintdemos', ... 'motorDrivetrainDiagnosis', 'machineData3'), 'motor_data') diagnosticFeatureDesigner
Импортируйте данные. Для этого на вкладке Конструктор элементов (Feature Designer) щелкните Создать сеанс (New Session). Затем в окне Выбрать дополнительные переменные в новом сеансе выберите motor_data в качестве исходной переменной.


Завершите процесс импорта, приняв конфигурацию и переменные по умолчанию. Ансамбль включает в себя две переменные данных -Signal/vib, который содержит сигнал вибрации, и Tacho/pulse, который содержит импульсы тахометра. Ансамбль также включает переменную условия Health.
В браузере данных выберите оба сигнала и постройте их вместе с помощью функции «Трассировка сигналов».

Обратите внимание, что Tacho кластеры импульсов расширяются с каждым импульсом за счет изменения скорости вращения. Если Tacho импульсы не видны, дважды щелкните Групповые сигналы, чтобы получить Tacho сигнал на фронт.
Теперь сгруппируйте данные по состоянию отказа, выбрав Ensemble View Preferences > Group by «Health». Используйте панорамирование для расширения фрагмента сигнала.


На сюжете показаны небольшие различия пиков групп, но сигналы выглядят схожими в остальном.
Синхронное усреднение по времени (TSA) усредняет сигнал по одному повороту, существенно уменьшая шум, который не когерентен с поворотом. Сигналы, отфильтрованные с помощью TSA, служат основой для анализа вращательного механизма, включая генерацию характеристик.
В этом примере скорости вращения изменяются в пределах 1% от расчетного значения. Этот вариант фиксируется автоматически при использовании Tacho сигнал для обработки TSA.
Для вычисления сигнала TSA выберите Filtering & Averaging > Time-Synchronous Signal Averaging (Фильтрация и усреднение). В диалоговом окне:
Подтвердите выбор в поле Signal.
В поле Tacho Information выберите Tacho signal и подтвердите выбор сигнала.
Выберите Вычислить номинальную скорость (RPM). Эта опция приводит к вычислению набора номинальных скоростей машины или рабочих точек из Tacho сигнал. Эту информацию можно использовать при выполнении последующей обработки, например, фильтрации сигналов TSA. Поскольку переменная тахометра названа Tachoприложение сохраняет эти значения в качестве переменной условия Tacho_rpm.
Примите все остальные настройки.


Усредненные по TSA сигналы являются более чистыми, чем необработанные сигналы. Пиковые высоты сгруппированы по состоянию здоровья, как это было раньше, но на графике недостаточно информации, чтобы указать источник разлома.
Все опции фильтрации TSA в приложении начинаются с сигнала TSA и вычитают различные компоненты из этого сигнала, чтобы получить отфильтрованный сигнал. Каждый тип отфильтрованного сигнала дает уникальные характеристики, которые можно использовать для обнаружения определенных неисправностей в зубчатой передаче. Одним из этих отфильтрованных сигналов является разностный сигнал. Разностный сигнал TSA содержит компоненты, которые остаются после вычитания всех компонентов, обусловленных конструкцией привода для компонентов, которые не находятся в интересующей области. В частности, обработка разностного сигнала TSA вычитает:
Частота вала и гармоники
Частоты и гармоники зубчатого зацепления
Боковые полосы на частотах зацепления передач и их гармониках
В этом примере интересует дефект сетки между зубчатым колесом 5 и зубчатым колесом 6. Чтобы сосредоточиться на сигналах, возникающих в результате этого дефекта, отфильтровывайте сигналы, связанные с другими зубчатыми колесами. Для этого используйте последовательные передаточные числа, описанные в описании модели, при перемещении вниз по приводному редуктору. Соотношение между шестернями 1 и 2 составляет 17. Соотношение передач 1/2 и 3/4 составляет 51. Эти соотношения становятся вашими порядками ротации.
Для вычисления сигнала разности TSA выберите Filtering & Averaging > Filter Time-Synchronous Averaged Signals (Фильтрация и усреднение). В диалоговом окне:
Установка сигнала в сигнал TSA Signal_tsa/vib.
В поле «Генерируемые сигналы» выберите «Разностный сигнал».
В разделе Настройки скорости выберите Номинальная скорость вращения (RPM), а затем Tacho_rpm.
Подтвердите, что домен Order.
Установить для заказов на ротацию значение [17 51].

При группировании выводимых на печать данных по Health, вы также видите переменную условия Tacho_rpm в списке опций.

Полученный график показывает явное колебание. Группировать данные по healthy и faulty этикетки. Колебание присутствует только для faulty машины. С помощью курсоров данных можно показать, что период этого колебания составляет около 0,0033 секунды. Соответствующая частота колебаний составляет около 303 Гц или 18 182 об/мин. Эта частота имеет отношение приблизительно 10:1 при частоте вращения первичного вала 1800 об/мин и согласуется с передаточным отношением 10:1 между шестерней 5 и шестерней 6. Поэтому разностный сигнал изолирует источник моделируемого отказа.

В предыдущих разделах импульсы тахометра используются для точной генерации сигналов TSA и разностных сигналов. Если у вас нет информации о тахометре, вы можете использовать постоянное значение частоты вращения для генерации этих сигналов. Однако результаты менее точны.
Проверьте, можно ли изолировать дефект без использования Tacho сигнал. Вычислите как сигнал TSA, так и разностный сигнал с совокупной скоростью вращения 1800 об/мин.

Новый сигнал TSA имеет имя Signal_tsa_1/vib. Как показано на графике, генерация сигнала TSA без информации тахометра производит менее четкий сигнал, затем генерация сигнала с информацией тахометра.

Вычислить разностный сигнал с помощью Signal_tsa_1/vib и настройка постоянной скорости вращения (RPM).

На полученном графике все еще можно увидеть колебания для faulty набор машин, но, как и в случае сигнала TSA, колебание гораздо менее ясно, чем предыдущий разностный сигнал. Неучтенное изменение 1% об/мин оказывает значительное влияние на результаты.

Использовать сигналы TSA и разности Signal_tsa/x и Signal_tsa_tsafilt/x_Difference вычисление характеристик вращательного механизма во временной области.
Для вычисления этих функций выберите «Функции временной области» > «Функции вращающегося оборудования». В диалоговом окне выберите сигналы, которые будут использоваться для сигнала TSA и сигнала разности, а затем выберите все опции функций, которые используют сигналы TSA или разности.

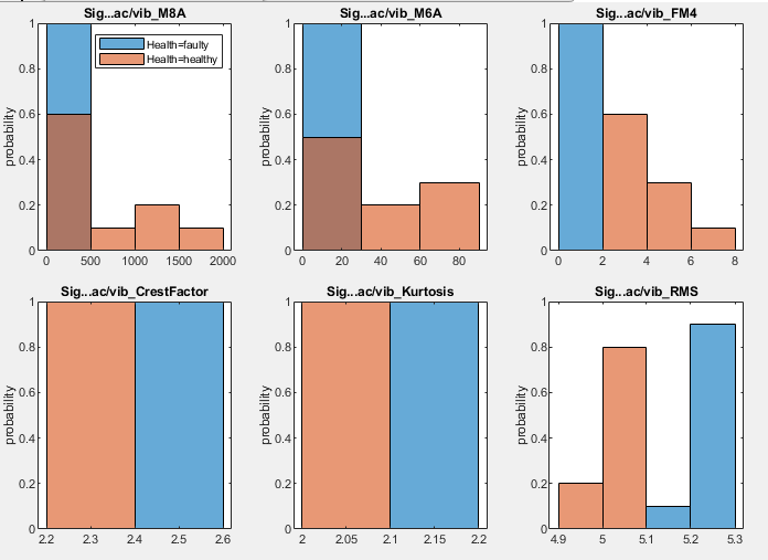
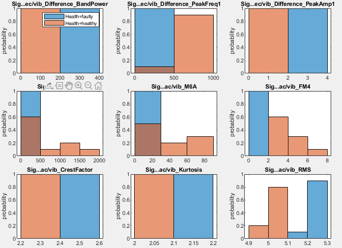
Полученные графики гистограммы указывают на хорошее разделение между healthy и faulty группы для всех функций, основанных на сигнале TSA, и для FM4 (куртоз) в характеристиках, основанных на разностном сигнале.

Поскольку разностный сигнал отображает ясное колебание, которое ограничено faulty группа, спектральные особенности также могут хорошо различать healthy и faulty группы. Для вычисления спектральных элементов необходимо сначала вычислить спектральную модель. Для этого щелкните Спектральная оценка (Spectral Estimation) > Упорядочить спектр (Order Spectrum). Как и ранее, выберите разностный сигнал как Сигнал, а тахометрический сигнал как сигнал Тачо.

Результирующий график отображает колебание дефекта в качестве первого пика на графике примерно порядка 10.

Вычислите спектральные элементы, щелкнув Спектральные элементы (Spectral Features). В диалоговом окне:
Подтвердите выбор для Spectrum.
Переместите ползунок диапазона порядка, чтобы охватить диапазон от 0 до 200. При перемещении ползунка график спектра порядка включает изменение.

Полученные гистограммы указывают на хорошую дифференциацию между группами для BandPower и PeakAmp. PeakFreq1 показывает небольшое перекрытие групп.

Ранжирование функций с использованием ранжирования T-теста по умолчанию. Для этого щелкните Ранговые характеристики (Rank Features) и выберите FeatureTable1. Приложение автоматически ранжирует функции и отображает баллы.
Спектральные характеристики BandPower и PeakAmp занять два верхних места с баллами значительно выше, чем другие особенности.
Вращательные элементы Kurtosis и CrestFactor занимают третье и четвёртое места с баллами значительно ниже спектральных особенностей, но всё же значительно выше остальных особенностей.
Остальные функции, скорее всего, не пригодятся для обнаружения неисправностей этого типа.

Используя эти функции высокого ранга, теперь можно экспортировать их в Classification Learner для обучения или в рабочую область MATLAB для включения алгоритма.
Конструктор диагностических функций | gearConditionMetrics | tsa | tsadifference