Полунормальное распределение является частным случаем сложенных нормальных и усеченных нормальных распределений. Некоторые приложения распределения половинной нормы включают данные измерения моделирования и данные о жизни.
Полунормальное распределение использует следующие параметры:
| Параметр | Описание |
|---|---|
| Параметр местоположения | |
| Масштабный параметр |
Поддержка наполовину нормального распределения x ≥ μ.
Использовать makedist с заданными значениями параметров, чтобы создать наполовину нормальный объект распределения вероятностей HalfNormalDistribution. Использовать fitdist для аппроксимации объекта распределения вероятностей к выборочным данным. Использовать mle для оценки значений параметров нормального распределения из выборочных данных без создания объекта распределения вероятностей. Для получения дополнительной информации о работе с распределениями вероятностей смотрите Работа с распределениями вероятностей.
Реализация Toolbox™ Statistics and Machine Learning наполовину нормального распределения принимает фиксированное значение для μ параметра местоположения. Поэтому ни то, ни другое fitdist ни mle оценивает значение μ параметра при подборе наполовину нормального распределения к выборочным данным. Можно задать значение для параметра μ с помощью аргумента пары "имя-значение" 'mu'. Значение по умолчанию для 'mu' аргумент 0 в обоих fitdist и mle.
Функция плотности вероятностей (pdf) наполовину нормального распределения
где μ - параметр местоположения, а σ - параметр шкалы. Если x ≤ μ, то PDF не определен.
Чтобы вычислить PDF наполовину нормального распределения, создайте HalfNormalDistribution использование объекта распределения вероятностей fitdist или makedist, затем используйте pdf метод для работы с объектом.
В этом примере показано, как изменить значения mu и sigma параметры изменяют форму pdf.
Создайте четыре объекта распределения вероятностей с различными параметрами.
pd1 = makedist('HalfNormal'); pd2 = makedist('HalfNormal','mu',0,'sigma',2); pd3 = makedist('HalfNormal','mu',0,'sigma',3); pd4 = makedist('HalfNormal','mu',0,'sigma',5);
Вычислите функции плотности вероятностей (PDFS) каждого распределения.
x = 0:0.1:10; pdf1 = pdf(pd1,x); pdf2 = pdf(pd2,x); pdf3 = pdf(pd3,x); pdf4 = pdf(pd4,x);
Постройте график PDFS на том же рисунке.
figure; plot(x,pdf1,'r','LineWidth',2) hold on; plot(x,pdf2,'k:','LineWidth',2); plot(x,pdf3,'b-.','LineWidth',2); plot(x,pdf4,'g--','LineWidth',2); legend({'mu = 0, sigma = 1','mu = 0, sigma = 2',... 'mu = 0, sigma = 3','mu = 0, sigma = 5'},'Location','NE'); hold off;

Как sigma увеличивается, кривая уплощается, и пиковое значение становится меньше.
Кумулятивная функция распределения (cdf) наполовину нормального распределения
где μ - параметр местоположения, σ - параметр шкалы, erf (•) - функция ошибки, а Φ (•) - cdf стандартного нормального распределения. Если x ≤ μ, cdf не определен.
Чтобы вычислить cdf наполовину нормального распределения, создайте HalfNormalDistribution использование объекта распределения вероятностей fitdist или makedist, затем используйте cdf метод для работы с объектом.
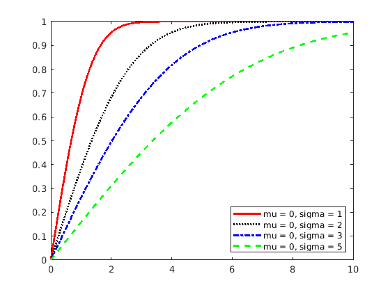
В этом примере показано, как изменить значения mu и sigma параметры изменяют форму cdf.
Создайте четыре объекта распределения вероятностей с различными параметрами.
pd1 = makedist('HalfNormal'); pd2 = makedist('HalfNormal','mu',0,'sigma',2); pd3 = makedist('HalfNormal','mu',0,'sigma',3); pd4 = makedist('HalfNormal','mu',0,'sigma',5);
Вычислите совокупные функции распределения (cdfs) для каждого распределения вероятностей.
x = 0:0.1:10; cdf1 = cdf(pd1,x); cdf2 = cdf(pd2,x); cdf3 = cdf(pd3,x); cdf4 = cdf(pd4,x);
Постройте график всех четырех cdfs на одном рисунке.
figure; plot(x,cdf1,'r','LineWidth',2) hold on; plot(x,cdf2,'k:','LineWidth',2); plot(x,cdf3,'b-.','LineWidth',2); plot(x,cdf4,'g--','LineWidth',2); legend({'mu = 0, sigma = 1','mu = 0, sigma = 2',... 'mu = 0, sigma = 3','mu = 0, sigma = 5'},'Location','SE'); hold off;

Как sigma увеличивается, кривая cdf уплощается.
Среднее значение наполовину нормального распределения
где μ - параметр местоположения, а σ - параметр шкалы.
Отклонение наполовину нормального распределения
где σ - параметр шкалы.
Если случайная переменная Z имеет стандартное нормальное распределение со средним μ, равным нулю, и стандартное отклонение σ равное единице, тогда имеет половину нормального распределения с параметрами μ и σ.
[1] Корей, К. и М.М.А. Ананда. «Обобщение полу-нормального распределения с приложениями к жизненным данным». Коммуникации в статистике - теория и методы. Том 37, № 9, 2008, с. 1323-1337.
[2] Pewsey, A. «Large-Sample Inference for the General Half-Normal Distribution». Коммуникации в статистике - теория и методы. Том 31, № 7, 2002, стр. 1045-1054.