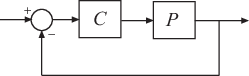
Рассчитать нормированный запас остойчивости коферм контура обратной связи установки-контроллера
[ возвращает нормализованный предел остойчивости многомерного контура обратной связи, состоящего из контроллера marg,freq] = ncfmargin(P,C)C в отрицательной обратной связи с заводом P:

Нормализованный второй предел устойчивости (также называемый пределом устойчивости метрики зазора) является показателем устойчивости к неструктурированным возмущениям. Значения, превышающие 0,3, обычно указывают на хороший запас прочности.
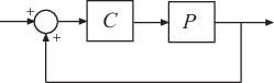
[ указывает знак соединения обратной связи, принимаемый для расчета запаса. По умолчанию marg,freq] = ncfmargin(P,C,sign)sign = -1. Набор sign = +1 для соединения с положительной обратной связью.
[ вычисляет нормированный коэффициент коприма с заданной относительной точностью.marg,freq] = ncfmargin(___,tol)
В то время как ncfmargin предполагает цикл отрицательной обратной связи, ncfsyn команда создает контроллер для цикла положительной обратной связи. Поэтому вычислять запас с помощью контроллера, разработанного с помощью ncfsyn, использовать [marg,freq] = ncfmargin(P,C,+1).
Расчет нормированного запаса устойчивости коприма описан в главе 16 из [1].
[1] Чжоу, К., Дойл, J.C., Основы надежного контроля. Лондон, Великобритания: Пирсон, 1997.
diskmargin | gapmetric | ncfsyn | robstab | wcdiskmargin