exponenta event banner

maboxplot

Создайте прямоугольный график для данных микромассивов

Синтаксис

maboxplot(MAData)
maboxplot(MAData, ColumnName)
maboxplot(MAStruct, FieldName)
H = maboxplot(...)
[H, HLines] = maboxplot(...)
maboxplot(..., 'Title', TitleValue, ...)
maboxplot(..., 'Notch', NotchValue, ...)
maboxplot(..., 'Symbol', SymbolValue, ...)
maboxplot(..., 'Orientation', OrientationValue, ...)
maboxplot(..., 'WhiskerLength', WhiskerLengthValue, ...)
maboxplot(..., 'BoxPlot', BoxPlotValue, ...)

Аргументы

MAData Объект DataMatrix, числовой массив или структура, содержащая поле с именем Data. Значения в столбцах MAData будет использоваться для создания коробчатых графиков. Если объект DataMatrix, имена столбцов используются в качестве меток на прямоугольном графике.
ColumnName Массив имен столбцов, соответствующих данным в MAData используется в качестве меток на прямоугольном графике.
MAStructСтруктура данных микромассивов.
FieldNameПоле в структуре данных микромассивов, MAStruct. Значения в поле FieldName будет использоваться для создания коробчатых графиков.
TitleValueВектор символов для использования в качестве заголовка для графика. Заголовок по умолчанию FieldName.
NotchValue

Логическое определение типа нарисованных полей. Варианты:

  • true - Выемки с надрезами

  • false - Квадратные коробки

По умолчанию это false.
OrientationValue

Вектор символов или строка, задающая ориентацию прямоугольного графика. Варианты:

  • 'Vertical'

  • 'Horizontal' (по умолчанию)

WhiskerLengthValueЗначение, определяющее максимальную длину усов как функцию межквартильной области значений (IQR). Усик простирается до самого экстремального значения данных в WhiskerLengthValue* IQR коробки. По умолчанию = 1.5. Если WhiskerLengthValue равен 0, затем maboxplot отображает все значения данных вне поля с помощью графического изображения Symbol.
BoxPlotValue

Массив ячеек из пар имя свойства/ значение для перехода к Statistics and Machine Learning Toolbox™ boxplot функция, которая создает прямоугольный график. Для допустимых пар смотрите boxplot функция.

Описание

maboxplot(MAData) отображает прямоугольный график значений в столбцах MAData. MAData может быть объектом DataMatrix, числовым массивом или структурой, содержащей поле с именем Data, содержащие данные микромассивов.

maboxplot(MAData, ColumnName) помечает имена столбцов графика.

maboxplot(MAStruct, FieldName) отображает прямоугольный график значений в поле FieldName в структуре данных микромассивов MAStruct. Если MAStruct основывается на блоках, maboxplot создает прямоугольный график значений в поле FieldName для каждого блока.

Примечание

Если вы предоставляете MAStruct, без предоставления FieldName, maboxplot использует Signal элемент в ColumnNames область MAStruct, если Affymetrix®данные или первый элемент в ColumnNames область MAStruct, в противном случае.

H = maboxplot(...) возвращает указатель на оси графика.

[H, HLines] = maboxplot(...) возвращает указатели линий, используемые для разделения различных блоков на изображении.

мабоксплот (..., 'PropertyName', PropertyValue, ...) вызывает maboxplot с необязательными свойствами, которые используют пары имя/значение свойства. Можно задать одно или несколько свойств в любом порядке. Каждый PropertyName должны быть заключены в одинарные кавычки и нечувствительны к регистру. Эти имена свойства/пары значения свойств следующие:

maboxplot(..., 'Title', TitleValue, ...) позволяет вам задать заголовок графика. Значение по умолчанию TitleValue является FieldName.

maboxplot(..., 'Notch', NotchValue, ...) если NotchValue является true, рисует вырезанные рамки. Значение по умолчанию является false чтобы показать квадратные рамки.

maboxplot(..., 'Symbol', SymbolValue, ...) позволяет вам задать символ, используемый для значений выбросов. Значение по умолчанию Symbol является '+'.

maboxplot(..., 'Orientation', OrientationValue, ...) позволяет вам задать ориентацию прямоугольного графика. Выбор следующий 'Vertical' и 'Horizontal'. Значение по умолчанию является 'Vertical'.

maboxplot(..., 'WhiskerLength', WhiskerLengthValue, ...) позволяет вам задать длину уса для прямоугольного графика. WhiskerLengthValue определяет максимальную длину усов как функцию межквартильной области значений (IQR) (по умолчанию = 1.5). Усик простирается до самого экстремального значения данных в WhiskerLength*IQR коробки. Если WhiskerLengthValue равен 0, затем maboxplot отображает все значения данных вне поля с помощью графического изображения Symbol.

maboxplot(..., 'BoxPlot', BoxPlotValue, ...) позволяет вам задать аргументы, которые будут переданы в boxplot функция, которая создает прямоугольный график. BoxPlotValue - массив ячеек с парами имя свойства/property значение. Для допустимых пар смотрите boxplot функция.

Примеры

свернуть все

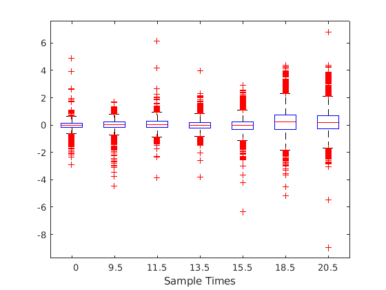
В этом примере показано, как отобразить прямоугольные графики для данных микромассивов.

Загрузите MAT-файл, поставляемый с программным обеспечением Bioinformatics Toolbox™, которое содержит данные о дрожжах. Этот MAT-файл включает три переменные: yeastvalues , матрица данных экспрессии генов, genes , массив ячеек с номерами доступа GenBank ® для маркировки строк в дрожжевых значениях и times , вектор значений времени для маркировки столбцов в дрожжевых значениях.

load yeastdata

Покажите прямоугольный график данных экспрессии генов.

maboxplot(yeastvalues,times);
xlabel('Sample Times');

Figure contains an axes. The axes contains 49 objects of type line.

Используйте gprread функция для создания структуры, содержащей данные микромассивов, и построения графика данных с помощью аргументов пары "имя-значение" maboxplot функция.

madata = gprread('mouse_a1wt.gpr');
maboxplot(madata,'F635 Median - B635','TITLE', 'Cy5 Channel FG - BG');

Figure contains an axes. The axes with title Cy5 Channel FG - BG contains 56 objects of type line.

Представлено до R2006a